Π§ΡΠΎ ΡΠ°ΠΊΠΎΠ΅ Π½Π΅Π΄Π΅ΡΠ΅ΡΠΌΠΈΠ½ΠΈΡΠΎΠ²Π°Π½Π½ΡΠΉ Π°Π²ΡΠΎΠΌΠ°Ρ
ΠΠΎΠ½Π΅ΡΠ½ΡΠ΅ Π°Π²ΡΠΎΠΌΠ°ΡΡ
ΠΠ²Π΅Π΄Π΅Π½ΠΈΠ΅
ΠΠΎΠ½Π΅ΡΠ½ΡΠ΅ Π°Π²ΡΠΎΠΌΠ°ΡΡ ΡΠ²Π»ΡΡΡΡΡ ΠΌΠΎΡΠ½ΡΠΌ ΠΈΠ½ΡΡΡΡΠΌΠ΅Π½ΡΠΎΠΌ Π΄Π»Ρ ΡΠ°Π±ΠΎΡΡ. ΠΠΎΠΌΠΏΠΈΠ»ΡΡΠΎΡΡ ΡΠ°Π±ΠΎΡΠ°Π΅Ρ Π½Π° ΠΎΡΠ½ΠΎΠ²Π΅ ΠΊΠΎΠ½Π΅ΡΠ½ΡΡ Π°Π²ΡΠΎΠΌΠ°ΡΠΎΠ². ΠΡΠ±ΠΎΠΉ Π°Π»Π³ΠΎΡΠΈΡΠΌ ΠΊΠΎΡΠΎΡΡΠ΅ Π²Ρ ΠΏΠΈΡΠ΅ΡΠ΅ ΠΌΠΎΠΆΠ΅Ρ Π±ΡΡΡ ΠΏΡΠ΅Π΄ΡΡΠ°Π²Π»Π΅Π½ Π² Π²ΠΈΠ΄Π΅ ΠΊΠΎΠ½Π΅ΡΠ½ΠΎΠ³ΠΎ Π°Π²ΡΠΎΠΌΠ°ΡΠ°.
Π ΠΊΠΎΠ½Π΅ΡΠ½ΠΎΠΌ Π°Π²ΡΠΎΠΌΠ°ΡΠ΅ ΠΊΠΎΠ»ΠΈΡΠ΅ΡΡΠΎ ΡΠΎΡΡΠΎΡΠ½ΠΈΠΉ ΠΊΠΎΠ½Π΅ΡΠ½ΠΎ, Π° ΡΠ΅Π·ΡΠ»ΡΡΠ°Ρ Π΅Π³ΠΎ ΡΠ°Π±ΠΎΡΠ° ΠΎΠΏΡΠ΅Π΄Π΅Π»ΡΠ΅ΡΡΡ ΠΏΠΎ Π΅Π³ΠΎ ΠΊΠΎΠ½ΡΠ΅Π½ΠΎΠΌΡ ΡΠΎΡΡΠΎΡΠ½ΠΈΡ (Wikipedia).
Π‘ΡΡΠ΅ΡΡΠ²ΡΠ΅Ρ Π½Π΅ΡΠΊΠΎΠ»ΡΠΊΠΎ Π²ΠΈΠ΄ΠΎΠ² ΠΊΠΎΠ½Π΅ΡΠ½ΡΡ
Π°Π²ΡΠΎΠΌΠ°ΡΠΎΠ²:
ΠΠ΅ΡΠ΅ΡΠΌΠΈΠ½ΠΈΡΠΎΠ²Π°Π½Π½ΡΠΉ ΠΊΠΎΠ½ΡΠ΅ΡΠ½ΡΠΉ Π°Π²ΡΠΎΠΌΠ°Ρ (ΠΠΠ)
ΠΠ· Π»ΡΠ±ΠΎΠ³ΠΎ ΡΠΎΡΡΠΎΡΠ½ΠΈΠ΅ Π΄ΠΎΠ»ΠΆΠ΅Π½ Π±ΡΡΡ ΡΠΎΠ»ΡΠΊΠΎ ΠΎΠ΄ΠΈΠ½ ΠΏΡΠ΅Ρ
ΠΎΠ΄ ΠΏΠΎ ΡΠΈΠΌΠ²ΠΎΠ»ΠΎΠ²Ρ, ΠΈΠ½Π°ΡΠ΅ ΡΡΠΎΡ Π°Π²ΡΠΎΠΌΠ°Ρ Π½Π΅Π΄Π΅ΡΠΌΠΈΠ½ΠΈΡΠΎΠ²Π°Π½.
ΠΠΠ ΡΠ²Π»ΡΠ΅ΡΡΡ ΡΠ°ΠΌΡΠΌ ΡΠ΄ΠΎΠ±Π½ΡΠΌ ΠΈΠ· Π²ΡΠ΅Ρ
ΠΊΠΎΠ½ΡΠ΅Π½ΡΡ
Π°Π²ΡΠΎΠΌΠ°ΡΠΎΠ². ΠΠ³ΠΎ ΡΠ΄ΠΎΠ±Π½Π΅Π΅ Π²ΡΠ΅Π³ΠΎ ΠΎΠ±ΡΠ°Π±ΠΎΡΠ°ΡΠ²Π°ΡΡ, Π²ΡΠ΅Π³Π΄Π° ΡΡΠ°ΡΠ°ΡΡΡΡ ΡΠ²Π΅ΡΡΠΈ Π·Π°Π΄Π°ΡΡ ΠΊ ΠΏΠΎΡΡΡΠΎΠ΅Π½ΠΈΡ ΠΠΠ. ΠΠΎ ΡΠ°Π·ΠΎΠ±ΡΠ°ΡΡ ΠΠΠ ΠΈ Ξ΅-ΠΠΠ ΡΠ°ΠΊΠΆΠ΅ Π½Π΅ΠΎΠ±Ρ
ΠΎΠ΄ΠΈΠΌΠΎ.
ΠΠ΅Π΄Π΅ΡΠ΅ΡΠΌΠΈΠ½ΠΈΡΠΎΠ²Π°Π½Π½ΡΠΉ ΠΊΠΎΠ½Π΅ΡΠ½ΡΠΉ Π°Π²ΡΠΎΠΌΠ°Ρ(ΠΠΠ)
ΠΡΠ΅Π΄ΠΏΠΎΠ»ΠΎΠΆΠΈΠΌ Π½Π°ΠΌ Π½Π°Π΄ΠΎ ΠΏΠΎΡΡΡΠΎΠΈΡΡ Π°Π²ΡΠΎΠΌΠ°Ρ, ΠΊΠΎΡΠΎΡΡΠΉ ΠΏΡΠΈΠ½ΠΈΠΌΠ°Π΅Ρ Π²ΡΠ΅ ΡΡΡΠΎΠΊΠΈ, ΡΠΎΡΡΠΎΡΡΠΈΠ΅ ΠΈΠ· ΡΠΈΠΌΠ²ΠΎΠ»ΠΎΠ² [0, 1], Π³Π΄Π΅ Π²ΡΠΎΡΠΎΠΉ ΡΠΈΠΌΠ²ΠΎΠ» Π±ΡΠ΄Π΅Ρ 0.
Ξ΅-ΠΠ΅Π΄Π΅ΡΠ΅ΡΠΌΠΈΠ½ΠΈΡΠΎΠ²Π°Π½Π½ΡΠΉ ΠΊΠΎΠ½Π΅ΡΠ½ΡΠΉ Π°Π²ΡΠΎΠΌΠ°Ρ (Ξ΅-ΠΠΠ)
Ξ΅-ΠΠΠ ΠΎΡΠ΅Π½Ρ ΠΏΠΎΡ
ΠΎΠΆ Π½Π° ΠΠΠ, ΡΠΎΠ»ΡΠΊΠΎ ΡΠ΅ΠΏΠ΅ΡΡ ΠΌΡ ΠΌΠΎΠΆΠ΅ΠΌ ΠΏΡΠ΅Ρ
ΠΎΠ΄ΠΈΡΡ ΠΏΠΎ Ξ΅. Π’Π΅ΠΏΠ΅ΡΡ Π½ΠΈΡΠ΅Π³ΠΎ Π½Π΅ ΡΡΠΈΡΠ°Π², ΠΌΡ ΡΠΌΠΎΠΆΠ΅ΠΌ ΠΏΠ΅ΡΠ΅ΠΉΡΠΈ ΠΈΠ· ΠΎΠ΄Π½ΠΎΠΉ Π²Π΅ΡΡΠΈΠ½Ρ Π² Π΄ΡΡΠ³ΡΡ.
ΠΡΠΈΠ½ΠΌΠ°Π΅Ρ ΡΠ΅ΠΆΠ΅ ΡΠ»ΠΎΠ²Π°, ΡΡΠΎ ΠΈ ΠΏΡΠ΅Π΄ΡΠ΄ΡΡΠΈΠΉ
ΠΠΊΠ²ΠΈΠ°Π»Π΅ΡΠ½ΠΎΡΡΡ
ΠΡΡΡ ΡΠ²ΠΎΠΉΡΡΠ²ΠΎ Ρ ΠΊΠΎΠ½ΡΠ΅Π½ΡΡ Π°Π²ΡΠΎΠΌΠ°ΡΠΎΠ² β ΡΡΠΎ ΠΈΡ ΡΠΊΠ²ΠΈΠ°Π»Π΅ΡΠ½ΠΎΡΡΡ. ΠΠΠ ΠΠΠ Ξ΅-ΠΠΠ. ΠΠ»Π°Π³ΠΎΠ΄Π°ΡΡ ΡΡΠΎΠΌΡ ΠΌΡ ΠΌΠΎΠΆΠ΅ΠΌ ΡΠΏΠΎΠΊΠΎΠΉΠ½ΠΎ ΠΈΠ· Ξ΅-ΠΠΠ ΡΠ΄Π΅Π»Π°ΡΡ ΠΠΠ, ΡΡΠΎ Π½Π°ΠΌ ΡΠΈΠ»ΡΠ½ΠΎ ΠΏΡΠΈΠ³ΠΎΠ΄ΠΈΡΡΡ.
ΠΠΊΡΠ°ΡΡΠ΅, ΡΠ°Π·ΠΎΠ±ΡΠ°Π² ΠΊΠ°ΠΊΠΈΠ΅ Π±ΡΠ²Π°ΡΡ Π°Π²ΡΠΎΠΌΠ°ΡΡ, ΠΌΡ ΠΌΠΎΠΆΠ΅ΠΌ ΠΏΠ΅ΡΠ΅ΠΉΡΠΈ ΠΊ Π±ΠΎΠ»Π΅Π΅ ΠΏΠΎΠ΄ΡΠΎΠ±Π½ΠΎΠΌΡ ΠΈΠ·ΡΡΠ΅Π½ΠΈΡ ΠΈΡ ΡΠ΅Π°Π»ΠΈΠ·Π°ΡΠΈΠΈ
Π Π΅Π°Π»ΠΈΠ·Π°ΡΠΈΡ
ΠΠ±ΡΠ°Π±ΠΎΡΠΊΠ° Π°Π²ΡΠΎΠΌΠ°ΡΠ°
ΠΠ°ΠΊ ΠΆΠ΅ ΠΌΠΎΠΆΠ½ΠΎ ΠΏΡΠΎΠ²Π΅ΡΠΈΡΡ ΠΏΡΠΈΠ½ΠΈΠΌΠ°Π΅Ρ Π»ΠΈ Π΄Π°Π½Π½ΡΠΉ ΠΊΠΎΠ½ΡΠ΅ΡΠ½ΡΠΉ Π°Π²ΡΠΎΠΌΠ°Ρ ΡΡΡΠΎΠΊΡ.
ΠΠ»Ρ ΠΠΠ Π²ΡΠ΅ ΠΎΡΠ΅Π²ΠΈΠ΄Π½ΠΎ. ΠΡ Ρ
ΡΠ°Π½ΠΈΠΌ ΠΌΠ°ΡΡΠΈΡΡ ΠΏΡΠ΅Ρ
ΠΎΠ΄ΠΎΠ², ΡΠ΅ΠΊΡΡΠ΅Π΅ ΡΠΎΡΡΠΎΡΠ½ΠΈΠ΅ (ΠΊΠΎΠ³Π΄Π° ΠΌΡ Π½ΠΈΡΠ΅Π³ΠΎ Π½Π΅ ΡΡΠΈΡΠ°Π»ΠΈ, ΡΠ΅ΠΊ. ΡΠΎΡΠΎΡΠ½ΠΈΠ΅ = Π½Π°ΡΠ°Π»ΡΠ½ΠΎΠ΅ ΡΠΎΡΡΠΎΡΠ½ΠΈΠ΅) ΠΈ ΡΠ΅ΡΠΌΠΈΠ½Π°Π»ΡΠ½ΡΠ΅ Π²Π΅ΡΡΠΈΠ½Ρ. Π‘ΡΠΈΡΡΠ²Π°Π΅ΠΌ ΠΏΠΎ ΠΎΠ΄Π½ΠΎΠΌΡ ΡΠΈΠΌΠ²ΠΎΠ»Ρ, ΠΈ ΠΏΠ΅ΡΠ΅Ρ
ΠΎΠ΄ΠΈΠΌ Π² ΡΠΎΡΡΠΎΡΠ½ΠΈΠ΅ ΠΏΠΎ ΠΌΠ°ΡΡΠΈΡΠ΅ ΠΏΠ΅ΡΠ΅Ρ
ΠΎΠ΄Π°.
ΠΠ»Ρ ΠΠΠ Π²ΠΌΠ΅ΡΡΠΎ ΡΠ΅ΠΊΡΡΠ΅Π³ΠΎ ΡΠΎΡΡΠΎΡΠ½ΠΈΡ ΠΌΡ Ρ ΡΠ°Π½ΠΈΠΌ ΠΌΠ½ΠΎΠΆΠ΅ΡΡΠ²ΠΎ ΡΠ΅ΠΊΡΡΠΈΡ ΡΠΎΡΡΠΎΡΠ½ΠΈΠΉ. Π Π°Π·Π±Π΅ΡΠ΅ΠΌ ΠΠΠ Π΄Π°Π½Π½ΡΠΉ Π²ΡΡΠ΅.
ΠΡΡΡΡ ΠΌΡ Ρ
ΠΎΡΠΈΠΌ ΠΏΠ΅ΡΠ΅ΠΉΡΠΈ ΠΏΠΎ ΡΠΈΠΌΠ²ΠΎΠ»Ρ 0. Π’Π΅ΠΊΡΡΠ΅Π΅ ΠΌΠ½ΠΎΠΆΠ΅ΡΡΠ²ΠΎ ΡΠΎΡΡΠΎΡΠ½ΠΈΠΉ β ΠΌΠ½ΠΎΠΆΠ΅ΡΡΠ²ΠΎ, ΡΠΎΡΡΠΎΡΡΠ΅Π΅ ΠΈΠ· ΠΎΠ΄Π½ΠΎΠΉ Π²Π΅ΡΡΠΈΠ½Ρ β Π½Π°ΡΠ°Π»ΡΠ½ΠΎΠΉ. Π£ Π½Π°Ρ Π΅ΡΡΡ Π΄Π²Π° ΠΏΡΠ΅Ρ
ΠΎΠ΄Π° ΠΏΠΎ ΡΠΈΠΌΠ²ΠΎΠ»Ρ 0 => ΠΌΠ½ΠΎΠΆΠ΅ΡΡΠ²ΠΎ ΡΠΎΡΡΠΎΡΠ½ΠΈΠΉ Ρ Π½Π°Ρ Π±ΡΠ΄Π΅Ρ 0, Q1>. ΠΠ°ΡΠ΅ΠΌ ΠΏΠ΅ΡΠ΅ΠΉΠ΄Π΅ΠΌ ΠΏΠΎ ΡΠΈΠΌΠ²ΠΎΠ»Ρ 0. ΠΠ· Q0 ΠΌΡ ΠΏΠΎΠΏΠ°Π΄Π°Π΅ΠΌ Π² Q0 ΠΈ Π² Q1, ΠΈΠ· Q1 Π² Q2 => Π½Π°ΡΠ΅ ΠΌΠ½ΠΎΠΆΠ΅ΡΡΠ²ΠΎ Π±ΡΠ΄Π΅Ρ
0, q1, q2>.
ΠΠ±ΡΠ°Π±ΠΎΡΠΊΠ° Ξ΅-ΠΠΠ ΠΏΠΎΡ ΠΎΠΆΠ° Π½Π° ΠΎΠ±ΡΠ°Π±ΠΎΡΠΊΡ ΠΠΠ. ΠΡΠ΅Π΄ΠΏΠΎΠ»ΠΎΠΆΠΈΠΌ Π½Π°ΡΠ΅ ΡΠ΅ΠΊΡΡΠ΅Π΅ ΠΌΠ½ΠΎΠΆΠ΅ΡΡΠ²ΠΎ S. ΠΠ΅ΡΠ΅Π΄ ΡΡΠΈΡΡΠ²Π°Π΅Π½ΠΈΠ΅ΠΌ ΡΠ»Π΅Π΄ΡΡΠ΅Π³ΠΎ ΡΠΈΠΌΠ²ΠΎΠ»Π°: Π΄Π»Ρ Π²ΡΠ΅Ρ q β S Π΄ΠΎΠ±Π°Π²ΠΈΡΡ Π² ΠΌΠ½ΠΎΠΆΠ΅ΡΡΠ²ΠΎ S Π²Π΅ΡΡΠΈΠ½Ρ Π΄ΠΎΡΡΠΈΠ³Π°Π΅ΠΌΡΡ ΠΈΠ· q ΠΏΠΎ ΡΠΈΠΌΠ²ΠΎΠ»Ρ Ξ΅.
ΠΠ΅ΡΠ΅ΡΠΌΠΈΠ½Π°ΡΠΈΡ Π°Π²ΡΠΎΠΌΠ°ΡΠ°
ΠΠ΅ΡΠ΅Π²Π΅ΡΡΠΈ Π°Π²ΡΠΎΠΌΠ°Ρ ΠΈΠ· ΠΠΠ Π² ΠΠΠ Π»Π΅Π³ΠΊΠΎ. ΠΠ°ΠΌ ΠΏΡΠΎΡΡΠΎ Π½ΠΈΡΠ΅Π³ΠΎ Π½Π΅ Π½ΡΠΆΠ½ΠΎ Π΄Π΅Π»Π°ΡΡ, Ρ.ΠΊ. ΠΠΠ ΡΡΠΎ ΠΎΠ±ΠΎΠ±ΡΠ΅Π½Π½ΡΠΉ ΡΠ»ΡΡΠ°ΠΉ ΠΠΠ.
ΠΠΎ ΡΡΠΎ Π΄Π΅Π»Π°ΡΡ Π΅ΡΠ»ΠΈ ΠΌΡ Ρ
ΠΎΡΠΈΠΌ ΠΏΡΠ΅Π²Π΅ΡΡΠΈ ΠΈΠ· Ξ΅-ΠΠΠ Π² ΠΠΠ (ΠΠΠ ΡΠ²Π»ΡΠ΅ΡΡΡ ΠΎΠ±ΠΎΠ±ΡΠ΅Π½Π½ΡΠΌ ΡΠ»ΡΡΠ°Π΅ΠΌ Ξ΅-ΠΠΠ). ΠΡΠΎΡ ΠΏΡΠΎΡΠ΅ΡΡ Π½Π°Π·ΡΠ²Π°Π΅ΡΡΡ Π΄Π΅ΡΠ΅ΡΠΌΠΈΠ½Π°ΡΠΈΠ΅ΠΉ Π°Π²ΡΠΎΠΌΠ°ΡΠ°.
ΠΠ°ΡΠ½Π΅ΠΌ ΠΎΠ±ΠΎΡ ΠΎΠ΄ΠΈΡΡ Π½Π°Ρ Ξ΅-ΠΠΠ, Π½Π°ΠΏΡΠΈΠΌΠ΅Ρ, DFS-ΠΎΠΌ. ΠΠ΅ΡΡΠΈΠ½ΠΎΠΉ Π³ΡΠ°ΡΠ° ΡΠ²Π»ΡΠ΅ΡΡΡ ΠΌΠ½ΠΎΠΆΠ΅ΡΡΠ²ΠΎ ΡΠ΅ΠΊΡΡΠΈΡ ΡΠΎΡΡΠΎΡΠ½ΠΈΠΉ. Π‘ΠΎΡΡΠΎΡΠ½ΠΈΡΠΌΠΈ Π½ΠΎΠ²ΠΎΠ³ΠΎ ΠΠΠ Π±ΡΠ΄ΡΡ Π²ΡΠ΅ Π²Π΅ΡΡΠΈΠ½Ρ Π³ΡΠ°ΡΠ°. ΠΡΠΈ ΠΏΠ΅ΡΠ΅Ρ ΠΎΠ΄Π΅ ΠΊ Π½ΠΎΠ²ΠΎΠΉ Π²Π΅ΡΠΈΡΠ½Π΅ ΠΌΡ Π²ΡΠ±ΠΈΡΠ°Π΅ΠΌ ΡΠΈΠΌΠ²ΠΎΠ» ΠΏΠΎ ΠΊΠΎΡΠΎΡΠΎΠΌΡ Ρ ΠΎΡΠΈΠΌ ΠΏΠ΅ΡΠ΅ΠΉΡΠΈ, ΠΈ Π΄ΠΎΠ±Π°Π²Π»ΡΠ΅ΠΌ ΡΡΠΎΡ ΠΏΠ΅ΡΠ΅Ρ ΠΎΠ΄. ΠΡΠΈΠ²Π΅Π΄Ρ ΠΏΡΠ΅Π²Π΄ΠΎΠΊΠΎΠ΄ DFS-a Π΄Π»Ρ Π±ΠΎΠ»ΡΡΠΎΠΉ ΡΡΠ½ΠΎΡΡΠΈ:
ΠΡΠ»ΠΈ Π² ΠΌΠ½ΠΎΠΆΠ΅ΡΡΠ²Π΅ Π΅ΡΡΡ ΡΠ΅ΡΠΌΠΈΠ½Π°Π»ΡΠ½ΠΎΠ΅ ΡΠΎΡΡΠΎΡΠ½ΠΈΠ΅, ΡΠΎ ΡΠΎΡΡΠΎΡΠ½ΠΈΠ΅ Π½ΠΎΠ²ΠΎΠ³ΠΎ ΠΠΠ Π±ΡΠ΄Π΅Ρ ΡΠΎΠΆΠ΅ ΡΠ΅ΡΠΌΠΈΠ½Π°Π»ΡΠ½ΡΠΌ.
Π ΡΠΎΠΆΠ°Π»Π΅Π½ΠΈΡ ΡΠΈΡΠ»ΠΎ ΡΠΎΡΡΠΎΡΠ½ΠΈΠ΅ Π½ΠΎΠ²ΠΎΠ³ΠΎ ΠΠΠ Π±ΡΠ΄Π΅Ρ ΡΠ°ΡΡΠΈ ΡΠΊΡΠΏΠΎΠ½Π΅Π½ΡΠΈΠ°Π»ΡΠ½ΠΎ, ΡΡΠΎ Π½Π΅ ΠΎΡΠ΅Π½Ρ Ρ ΠΎΡΠΎΡΠΎ, Ρ.ΠΊ. ΡΡΠΎ Π±ΡΠ΄Π΅Ρ ΠΏΠΎΡΡΠ΅Π±Π»ΡΡΡ ΠΌΠ½ΠΎΠ³ΠΎ ΠΏΠ°ΠΌΡΡΠΈ.
ΠΠ»Π³ΠΎΡΠΈΡΠΌ ΠΌΠΈΠ½ΠΈΠΌΠΈΠ·Π°ΡΠΈΠΈ ΠΠΠ
ΠΡΠ±ΠΎΠΉ ΠΠΠ ΠΈΠΌΠ΅Π΅Ρ ΡΠΊΠ²ΠΈΠ°Π»Π΅ΡΠ½ΡΠΉ Π΅ΠΌΡ ΠΠΠ Ρ ΠΌΠΈΠ½ΠΈΠΌΠ°Π»ΡΠ½ΡΠΌ ΡΠΈΡΠ»ΠΎΠΌ ΡΠΎΡΡΠΎΡΠ½ΠΈΠΉ. ΠΠ°ΠΊ Π΅Π³ΠΎ Β«ΡΠΆΠ°ΡΡΒ»? ΠΠ°ΠΌΠ΅ΡΠΈΠΌ, ΡΡΠΎ Π½Π΅ΡΠ°Π·Π»ΠΈΡΠΈΠΌΡΠ΅ Π²Π΅ΡΡΠΈΠ½Ρ ΠΌΡ ΠΌΠΎΠΆΠ΅ΠΌ ΡΠΎΠ΅Π΄ΠΈΠ½ΠΈΡΡ Π² ΠΎΠ΄Π½Ρ.
Π§ΡΠΎ ΡΠ°ΠΊΠΎΠ΅ ΡΠ°Π·Π»ΠΈΡΠΈΠΌΠΎΠ΅ ΡΠΎΡΡΠΎΡΠ½ΠΈΠ΅?
Π‘ΠΎΡΡΠΎΡΠ½ΠΈΠ΅ p ΠΈ q ΡΠ²Π»ΡΡΡΡΡ ΡΠ°Π·Π»ΠΈΡΠΈΠΌΡΠΌΠΈ, Π΅ΡΠ»ΠΈ Π΅ΡΡΡ ΡΠ°ΠΊΠΎΠ΅ ΡΠ»ΠΎΠ²ΠΎ s, ΡΡΠΎ ΠΏΡΠ΅Ρ
ΠΎΠ΄Ρ ΠΈΠ· Π²Π΅ΡΡΠΈΠ½Ρ p ΠΏΠΎ ΡΠ»ΠΎΠ²Ρ s ΠΌΡ ΠΏΠΎΠΏΠ°Π΄Π°Π΅ΠΌ Π² ΡΠ΅ΡΠΌΠΈΠ½Π°Π»ΡΠ½ΠΎΠ΅ ΡΠΎΡΡΠΎΡΠ½ΠΈΠ΅, Π° ΠΈΠ· Π²Π΅ΡΡΠΈΠ½Ρ q Π² Π½Π΅-ΡΠ΅ΡΠΌΠΈΠ½Π°Π»ΡΠ½ΠΎΠ΅, ΠΈΠ»ΠΈ Π½Π°ΠΎΠ±ΠΎΡΠΎΡ.
1) Π’Π΅ΡΠΌΠΈΠ½Π°Π»ΡΠ½ΠΎΠ΅ ΠΈ Π½Π΅-ΡΠ΅ΡΠΌΠΈΠ½Π°Π»ΡΠ½ΠΎΠ΅ ΡΠΎΡΡΠΎΡΠ½ΠΈΠ΅ ΡΠ²Π»ΡΡΡΡΡ ΡΠ°Π·Π»ΠΈΡΠΈΠΌΡΠΌΠΈ. ΠΠ΅ΡΠ΅ΠΉΠ΄Π΅ΠΌ ΠΏΠΎ ΠΏΡΡΡΠΎΠΌΡ ΡΠ»ΠΎΠ²Ρ ΠΈ ΠΎΠΊΠ°ΠΆΠ΅ΠΌΡΡ Π² Π΄Π²ΡΡ
ΡΠ°Π·Π»ΠΈΡΠΈΠΌΡΡ
ΡΠΎΡΡΠΎΡΠ½ΠΈΡΡ
.
2) Π‘ΠΎΡΡΠΎΡΠ½ΠΈΡ a ΠΈ b ΡΠ°Π·Π»ΠΈΡΠΈΠΌΡ. ΠΡΠ»ΠΈ ΡΡΡΠ΅ΡΡΠ²ΡΡΡ ΡΠΎΡΡΠΎΡΠ½ΠΈΡ c ΠΈ d, ΠΈ ΠΈΠ· c Π΅ΡΡΡ ΠΏΠ΅ΡΠ΅Ρ
ΠΎΠ΄ ΠΏΠΎ ΡΠΈΠΌΠ²ΠΎΠ»Ρ x Π² ΡΠΎΡΡΠΎΡΠ½ΠΈΠ΅ a, Π° ΠΈΠ· Π²Π΅ΡΠΈΡΠ½Ρ d Π΅ΡΡΡ ΠΏΠ΅ΡΠ΅Ρ
ΠΎΠ΄ ΠΏΠΎ ΡΠΈΠΌΠ²ΠΎΠ»Ρ x Π² ΡΠΎΡΡΠΎΡΠ½ΠΈΠ΅ b, ΡΠΎ ΡΠΎΡΡΠΎΡΠ½ΠΈΠ΅ a ΠΈ b ΡΠ°Π·Π»ΠΈΡΠΈΠΌΡ.
ΠΡ Π½Π°ΡΠ»ΠΈ Π²ΡΠ΅ ΡΠ°Π·Π»ΠΈΡΠΈΠΌΡΠ΅ ΡΠΎΡΡΠΎΡΠ½ΠΈΡ. Π’Π΅ΠΏΠ΅ΡΡ Π½Π°ΠΌ Π½Π°Π΄ΠΎ Β«ΡΡ Π»ΠΎΠΏΠ½ΡΡΡΒ» Π²ΡΠ΅ Π½Π΅ΡΠ°Π·Π»ΠΈΡΠΈΠΌΡΠ΅.
Π Π΅Π³ΡΠ»ΡΡΠ½ΡΠ΅ Π²ΡΡΠ°ΠΆΠ΅Π½ΠΈΡ
Π Π΅Π³ΡΠ»ΡΡΠ½ΡΠ΅ Π²Π°ΡΠΆΠ΅Π½ΠΈΡ Π½Π°ΠΏΡΡΠΌΡΡ ΡΠ²ΡΠ·Π°Π½Ρ Ρ ΠΊΠΎΠ½Π΅ΡΠ½ΡΠΌΠΈ Π°Π²ΡΠΎΠΌΠ°ΡΠ°ΠΌΠΈ. ΠΠ²Π΅Π΄Π΅ΠΌ Π½Π΅ΠΊΠΎΡΠΎΡΡΠ΅ ΠΎΠ±ΠΎΠ·Π½Π°ΡΠ΅Π½ΠΈΡ:
β
β ΠΏΡΡΡΠΎΠ΅ ΠΌΠ½ΠΎΠΆΠ΅ΡΡΠ²ΠΎ.
Ξ΅ β ΡΡΡΠΎΠΊΠ°, ΠΊΠΎΡΠΎΡΠ°Ρ Π½Π΅ ΡΠΎΠΆΠ΅ΡΠΆΠΈΡ ΡΠΈΠΌΠ²ΠΎΠ»ΠΎΠ².
ΠΡΡΡΡ A ΠΈ B ΡΠ΅Π³ΡΠ»ΡΡΠ½ΡΠ΅ Π²ΡΡΠ°ΠΆΠ΅Π½ΠΈΡ. L(A) ΠΈ L(B) β ΠΊΠΎΠ½ΡΠ΅ΡΠ½ΡΠ΅ ΡΠ·ΡΠΊΠΈ, ΠΊΠΎΡΠΎΡΡΠ΅ Π΄Π°Π½Π½ΡΠ΅ ΡΠ΅Π³ΡΠ»ΡΡΠ½ΡΠ΅ Π²Π°ΡΠΆΠ΅Π½ΠΈΡ Π·Π°Π΄Π°ΡΡ.
ΠΡΠΎ ΠΎΡΠ½ΠΎΠ²Π½ΡΠ΅ ΠΎΠΏΠ΅ΡΠ°ΡΠΈΠΈ ΠΏΡΠΌΠ΅Π½ΠΈΠΌΡΠ΅ ΠΊ ΡΠ΅Π³ΡΠ»ΡΡΠ½ΡΠΌ Π²Π°ΡΠΆΠ΅Π½ΠΈΠ΅ΠΌ. ΠΠΎΠΆΠ½ΠΎ Π²ΡΠ΅ΡΡΠΈΡΡ ΠΈ Π΄ΡΡΠ³ΠΈΠ΅, Π½ΠΎ Π²ΡΠ΅ ΠΎΠ½ΠΈ ΠΌΠΎΠ³ΡΡ Π±ΡΡΡ ΠΏΡΠ΅Π΄ΡΡΠ°Π²Π»Π΅Π½Ρ ΠΎΠΏΠ΅ΡΠ°ΡΠΈΡΠΌΠΈ Π΄Π°Π½Π½ΡΠΌΠΈ Π²ΡΡΠ΅.
ΠΠΎΡ ΠΏΡΠ΅Π΄ΡΡΠ°Π²Π»Π΅Π½ΠΈΠ΅ ΠΎΡΠ½ΠΎΠ²Π½ΡΡ ΠΎΠΏΠ΅ΡΠ°ΡΠΈΠΉ ΡΠ΅Π³ΡΠ»ΡΡΠ½ΡΡ Π²ΡΡΠ°ΠΆΠ΅Π½ΠΈΠΉ Π² Π²ΠΈΠ΄Π΅ Ξ΅-ΠΠΠ.
ΠΠ°Π»Π΅ ΡΠ°Π·Π±ΠΈΡΠ°Π΅ΠΌ ΡΡΠΎ Π²ΡΡΠ°ΠΆΠ΅Π½ΠΈΠ΅ ΡΠ΅ΠΊΡΡΡΠΈΠ²Π½ΡΠΌ ΡΠΏΡΡΠΊΠΎΠΌ ΠΈ ΡΡΡΠΎΠΈΠΌ Ξ΅-ΠΠΠ.
Π§ΡΠΎΠ±Ρ ΠΎΠ±ΡΠ°Π±ΠΎΡΠ°ΡΡ Π Π΅Π³ΡΠ»ΡΡΠ½ΠΎΠ΅ Π²ΡΡΠ°ΠΆΠ΅Π½ΠΈΠ΅ ΠΏΠΎΡΡΡΠΎΠΈΠΌ Π΄Π»Ρ Ξ΅-ΠΠΠ, Π° ΠΏΠΎΡΠΎΠΌ ΠΏΠΎΠ»ΡΡΠΈΠΌ ΠΈΠ· Ξ΅-ΠΠΠ ΠΠΠ, ΠΊΠΎΡΠΎΡΡΠΉ ΠΎΡΠ΅Π½Ρ Π»Π΅Π³ΠΊΠΎ ΠΎΠ±ΡΠ°Π±Π°ΡΡΠ²Π°ΡΡ.
Π’Π΅ΠΎΡΠΈΡ Π²ΡΡΠΈΡΠ»Π΅Π½ΠΈΠΉ. ΠΠ²Π΅Π΄Π΅Π½ΠΈΠ΅ Π² ΠΊΠΎΠ½Π΅ΡΠ½ΡΠ΅ Π°Π²ΡΠΎΠΌΠ°ΡΡ
ΠΡΠΎ Π΄ΠΎ ΠΏΡΠ΅Π΄Π΅Π»Π° ΡΠΏΡΠΎΡΠ΅Π½Π½Π°Ρ ΠΌΠΎΠ΄Π΅Π»Ρ ΠΊΠΎΠΌΠΏΡΡΡΠ΅ΡΠ° ΠΈΠΌΠ΅ΡΡΠ°Ρ ΠΊΠΎΠ½Π΅ΡΠ½ΠΎΠ΅ ΡΠΈΡΠ»ΠΎ ΡΠΎΡΡΠΎΡΠ½ΠΈΠΉ, ΠΊΠΎΡΠΎΡΠ°Ρ ΠΆΠ΅ΡΡΠ²ΡΠ΅Ρ Π²ΡΠ΅ΠΌΠΈ ΠΎΡΠΎΠ±Π΅Π½Π½ΠΎΡΡΡΠΌΠΈ ΠΊΠΎΠΌΠΏΡΡΡΠ΅ΡΠΎΠ² ΡΠ°ΠΊΠΈΠ΅ ΠΊΠ°ΠΊ ΠΠΠ£, ΠΏΠΎΡΡΠΎΡΠ½Π½Π°Ρ ΠΏΠ°ΠΌΡΡΡ, ΡΡΡΡΠΎΠΉΡΡΠ²Π° Π²Π²ΠΎΠ΄Π°-Π²ΡΠ²ΠΎΠ΄Π° ΠΈ ΠΏΡΠΎΡΠ΅ΡΡΠΎΡΠ½ΡΠΌΠΈ ΡΠ΄ΡΠ°ΠΌΠΈ Π² ΠΎΠ±ΠΌΠ΅Π½ Π½Π° ΠΏΡΠΎΡΡΠΎΡΡ ΠΏΠΎΠ½ΠΈΠΌΠ°Π½ΠΈΡ, ΡΠ΄ΠΎΠ±ΡΡΠ²ΠΎ ΡΠ°ΡΒΡΡΠΆΠ΄Π΅Π½ΠΈΡ ΠΈ Π»Π΅Π³ΠΊΠΎΡΡΡ ΠΏΡΠΎΠ³ΡΠ°ΠΌΠΌΠ½ΠΎΠΉ ΠΈΠ»ΠΈ Π°ΠΏΠΏΠ°ΡΠ°ΡΠ½ΠΎΠΉ ΡΠ΅Π°Π»ΠΈΠ·Π°ΡΠΈΠΈ.
Π‘ ΠΏΠΎΠΌΠΎΡΡΡ ΠΠ ΠΌΠΎΠΆΠ½ΠΎ ΡΠ΅Π°Π»ΠΈΠ·ΠΎΠ²Π°ΡΡ ΡΠ°ΠΊΠΈΠ΅ Π²Π΅ΡΠΈ ΠΊΠ°ΠΊ, ΡΠ΅Π³ΡΠ»ΡΡΠ½ΡΠ΅ Π²ΡΡΠ°ΠΆΠ΅Π½ΠΈΡ, Π»Π΅ΠΊΡΠΈΡΠ΅ΡΠΊΠΈΠΉ Π°Π½Π°Π»ΠΈΠ·Π°ΡΠΎΡ, ΠΠ Π² ΠΈΠ³ΡΠ°Ρ ΠΈ ΡΠ΄.
Π£ ΠΊΠΎΠ½Π΅ΡΠ½ΡΡ Π°Π²ΡΠΎΠΌΠ°ΡΠΎΠ² ΠΈΠΌΠ΅Π΅ΡΡΡ ΡΠ°Π±Π»ΠΈΡΠ° ΠΏΠ΅ΡΠ΅Ρ ΠΎΠ΄ΠΎΠ², ΡΠ΅ΠΊΡΡΠ΅Π΅ ΡΠΎΡΡΠΎΡΠ½ΠΈΠ΅ Π°Π²ΡΠΎΠΌΠ°ΡΠ°, ΡΡΠ°ΡΡΠΎΠ²ΠΎΠ΅ ΡΠΎΡΡΠΎΡΠ½ΠΈΠ΅ ΠΈ Π·Π°ΠΊΠ»ΡΡΠΈΡΠ΅Π»ΡΠ½ΠΎΠ΅ ΡΠΎΡΡΠΎΡΠ½ΠΈΠ΅.
Π’Π°Π±Π»ΠΈΡΠ° ΠΏΠ΅ΡΠ΅Ρ ΠΎΠ΄ΠΎΠ² β Π Π½Π΅ΠΉ Ρ ΡΠ°Π½ΡΡΡΡ ΠΏΠ΅ΡΠ΅Ρ ΠΎΠ΄Ρ Π΄Π»Ρ ΡΠ΅ΠΊΡΡΠ΅Π³ΠΎ ΡΠΎΡΡΠΎΡΠ½ΠΈΡ ΠΈ Π²Ρ ΠΎΠ΄Π½ΠΎΠ³ΠΎ ΡΠΈΠΌΠ²ΠΎΠ»Π°. ΠΡΠΎΡΡΠ΅ΠΉΡΠ°Ρ ΡΠ΅Π°Π»ΠΈΠ·Π°ΡΠΈΡ ΠΌΠΎΠΆΠ΅Ρ Π±ΡΡΡ ΠΊΠ°ΠΊ Π΄Π²ΡΠΌΠ΅ΡΠ½ΡΠΉ ΠΌΠ°ΡΡΠΈΠ².
ΠΠ΄Π΅ΡΡ Π²ΠΈΠ΄Π½ΠΎ, ΡΡΠΎ ΠΈΠ· ΡΠΎΡΡΠΎΡΠ½ΠΈΡ 0 Π² ΡΠΎΡΡΠΎΡΠ½ΠΈΠ΅ 1 ΠΌΠΎΠΆΠ½ΠΎ ΠΏΠΎΠΏΠ°ΡΡΡ ΡΠΎΠ»ΡΠΊΠΎ, Π΅ΡΠ»ΠΈ Ρ Π½Π°Ρ Π±ΡΠ΄Π΅Ρ Π²Ρ ΠΎΠ΄Π½ΠΎΠΉ ΡΠΈΠΌΠ²ΠΎΠ» ‘a’, ΠΈΠ· ΡΠΎΡΡΠΎΡΠ½ΠΈΡ 1 Π² ΡΠΎΡΡΠΎΡΠ½ΠΈΠ΅ 2, Π΅ΡΠ»ΠΈ ΡΠΈΠΌΠ²ΠΎΠ» ‘b’.
Π’Π΅ΠΊΡΡΠ΅Π΅ ΡΠΎΡΡΠΎΡΠ½ΠΈΠ΅ β ΠΌΠ½ΠΎΠΆΠ΅ΡΡΠ²ΠΎ ΡΠΎΡΡΠΎΡΠ½ΠΈΠΉ Π² ΠΊΠΎΡΠΎΡΠΎΠΌ Π°Π²ΡΠΎΠΌΠ°Ρ ΠΌΠΎΠΆΠ΅Ρ Π½Π°Ρ ΠΎΠ΄ΠΈΡΡΡΡ Π² Π΄Π°Π½Π½ΡΠΉ ΠΌΠΎΠΌΠ΅Π½Ρ Π²ΡΠ΅ΠΌΠ΅Π½ΠΈ.
Π‘ΡΠ°ΡΡΠΎΠ²ΠΎΠ΅ ΡΠΎΡΡΠΎΡΠ½ΠΈΠ΅ β ΡΠΎΡΡΠΎΡΠ½ΠΈΠ΅ ΠΎΡΠΊΡΠ΄Π° ΠΠ Π½Π°ΡΠΈΠ½Π°Π΅Ρ ΡΠ²ΠΎΡ ΡΠ°Π±ΠΎΡΡ.
ΠΠ°ΠΊΠ»ΡΡΠΈΡΠ΅Π»ΡΠ½ΠΎΠ΅ ΡΠΎΡΡΠΎΡΠ½ΠΈΠ΅ β ΠΌΠ½ΠΎΠΆΠ΅ΡΡΠ²ΠΎ ΡΠΎΡΡΠΎΡΠ½ΠΈΠΉ Π² ΠΊΠΎΡΠΎΡΡΡ Π°Π²ΡΠΎΠΌΠ°Ρ ΠΏΡΠΈΠ½ΠΈΠΌΠ°Π΅Ρ ΠΎΠΏΡΠ΅Π΄Π΅Π»Π΅Π½Π½ΡΡ ΡΠ΅ΠΏΠΎΡΠΊΡ ΡΠΈΠΌΠ²ΠΎΠ»ΠΎΠ², Π² ΠΈΠ½ΠΎΠΌ ΡΠ»ΡΡΠ°Π΅ ΠΎΡΠ²Π΅ΡΠ³Π°Π΅Ρ.
ΠΠ΅ΡΠ΅ΡΠΌΠΈΠ½ΠΈΡΠΎΠ²Π°Π½Π½ΡΠ΅ ΠΊΠΎΠ½Π΅ΡΠ½ΡΠ΅ Π°Π²ΡΠΎΠΌΠ°ΡΡ (deterministic finite automaton)
ΠΡΠΎΡΡΠ΅ΠΉΡΠΈΠΉ ΠΠ, Π² ΠΊΠΎΡΠΎΡΠΎΠΌ ΠΌΠΎΠΆΠ΅Ρ Π±ΡΡΡ ΠΎΠ΄Π½ΠΎ ΡΠΎΡΡΠΎΡΠ½ΠΈΠ΅ Π² ΡΠ΅ΠΊΡΡΠΈΠΉ ΠΌΠΎΠΌΠ΅Π½Ρ Π²ΡΠ΅ΠΌΠ΅Π½ΠΈ, ΠΎΠ±Π»Π°Π΄Π°Π΅Ρ Π΄Π΅ΡΠ΅ΡΠΌΠΈΠ½ΠΈΡΠΎΠ²Π°Π½Π½ΠΎΡΡΡΡ.
ΠΠ΅ΡΠ΅ΡΠΌΠΈΠ½ΠΈΡΠΎΠ²Π°Π½Π½ΠΎΡΡΡ β Π΄Π»Ρ Π²ΡΠ΅Ρ ΡΠΎΡΡΠΎΡΠ½ΠΈΠΉ ΠΈΠΌΠ΅Π΅ΡΡΡ ΠΌΠ°ΠΊΡΠΈΠΌΡΠΌ ΠΈ ΠΌΠΈΠ½ΠΈΠΌΡΠΌ ΠΎΠ΄Π½ΠΎ ΠΏΡΠ°Π²ΠΈΠ»ΠΎ Π΄Π»Ρ Π»ΡΠ±ΠΎΠ³ΠΎ Π²ΠΎΠ·ΠΌΠΎΠΆΠ½ΠΎΠ³ΠΎ Π²Ρ ΠΎΠ΄Π½ΠΎΠ³ΠΎ ΡΠΈΠΌΠ²ΠΎΠ»Π°, ΡΠΎ Π΅ΡΡΡ Π½Π°ΠΏΡΠΈΠΌΠ΅Ρ, Π΄Π»Ρ ΡΠΎΡΡΠΎΡΠ½ΠΈΡ 1 Π½Π΅ ΠΌΠΎΠΆΠ΅Ρ Π±ΡΡΡ Π΄Π²Π° ΠΏΠ΅ΡΠ΅Ρ ΠΎΠ΄Π° Ρ ΠΎΠ΄Π½ΠΈΠΌ ΠΈ ΡΠ΅ΠΌ ΠΆΠ΅ Π²Ρ ΠΎΠ΄Π½ΡΠΌ ΡΠΈΠΌΠ²ΠΎΠ»ΠΎΠΌ.
ΠΠ΅Π΄Π΅ΡΠ΅ΡΠΌΠΈΠ½ΠΈΡΠΎΠ²Π°Π½Π½ΡΠ΅ ΠΊΠΎΠ½Π΅ΡΠ½ΡΠ΅ Π°Π²ΡΠΎΠΌΠ°ΡΡ (nondeterministic finite automaton)
ΠΠΠ Π½Π΅ ΡΠ²Π»ΡΠ΅ΡΡΡ ΠΊΠ°ΠΊΠΈΠΌ-ΡΠΎ ΡΡΡΠ΅ΡΡΠ²Π΅Π½Π½ΡΠΌ ΡΠ»ΡΡΡΠ΅Π½ΠΈΠ΅ΠΌ ΠΠΠ, ΠΏΡΠΎΡΡΠΎ Π² Π½Π΅ΠΌ Π΄ΠΎΠ±Π°Π²Π»Π΅Π½ ΡΠ°ΠΊ ΡΠΊΠ°Π·Π°ΡΡ ΡΠΈΠ½ΡΠ°ΠΊΡΠΈΡΠ΅ΡΠΊΠΈΠΉ ΡΠ°Ρ Π°Ρ, Π² Π²ΠΈΠ΄Π΅ ΡΠ²ΠΎΠ±ΠΎΠ΄Π½ΡΡ ΠΏΠ΅ΡΠ΅Ρ ΠΎΠ΄ΠΎΠ², Π½Π΅Π΄Π΅ΡΠ΅ΡΠΌΠΈΠ½ΠΈΡΠΎΠ²Π°Π½Π½ΠΎΡΡΠΈ ΠΈ ΠΌΠ½ΠΎΠΆΠ΅ΡΡΠ² ΡΠΎΡΡΠΎΡΠ½ΠΈΠΉ. Π Π΅Π°Π»ΠΈΠ·ΠΎΠ²Π°ΡΡ ΠΌΠΎΠΆΠ½ΠΎ ΠΊΠ°ΠΊ ΠΌΠ°ΡΡΠΈΠ² ΡΠΎΡΡΠΎΡΡΠΈΠΉ ΠΈΠ· ΡΡΡΡΠΊΡΡΡ Π² ΠΊΠΎΡΠΎΡΠΎΠΉ Ρ ΡΠ°Π½ΠΈΡΡΡ ΡΠΎΡΡΠΎΡΠ½ΠΈΠ΅, Π²Ρ ΠΎΠ΄Π½ΠΎΠΉ ΡΠΈΠΌΠ²ΠΎΠ» ΠΈ ΡΠ»Π΅Π΄ΡΡΡΠ΅Π΅ ΡΠΎΡΡΠΎΡΠ½ΠΈΠ΅.
Π‘Π²ΠΎΠ±ΠΎΠ΄Π½ΡΠ΅ ΠΏΠ΅ΡΠ΅Ρ ΠΎΠ΄Ρ (ΡΠΏΡΠΈΠ»ΠΎΠ½ ΠΏΠ΅ΡΠ΅Ρ ΠΎΠ΄Ρ) β ΠΏΠ΅ΡΠ΅Ρ ΠΎΠ΄Ρ, ΠΊΠΎΡΠΎΡΡΠ΅ ΠΌΠΎΠΆΠ½ΠΎ ΡΠΎΠ²Π΅ΡΡΠ°ΡΡ Π±Π΅Π· ΡΡΠ΅Π½ΠΈΡ Π²Ρ ΠΎΠ΄Π½ΠΎΠ³ΠΎ ΡΠΈΠΌΠ²ΠΎΠ»Π°.
ΠΠ΅Π΄Π΅ΡΠ΅ΡΠΌΠΈΠ½ΠΈΡΠΎΠ²Π°Π½Π½ΠΎΡΡΡ β Π½ΠΎΠ»Ρ ΠΈ Π±ΠΎΠ»Π΅Π΅ ΠΏΠ΅ΡΠ΅Ρ ΠΎΠ΄ΠΎΠ² Π΄Π»Ρ ΠΎΠ΄Π½ΠΎΠ³ΠΎ ΡΠΈΠΌΠ²ΠΎΠ»Π° Π² ΠΊΠ°ΠΊΠΈΡ -Π»ΠΈΠ±ΠΎ ΡΠΎΡΡΠΎΡΠ½ΠΈΡΡ .
ΠΠ½ΠΎΠΆΠ΅ΡΡΠ²Π° ΡΠΎΡΡΠΎΡΠ½ΠΈΠΉ β Π² ΠΎΠ΄ΠΈΠ½ ΠΌΠΎΠΌΠ΅Π½Ρ Π²ΡΠ΅ΠΌΠ΅Π½ΠΈ ΠΠΠ ΠΌΠΎΠΆΠ΅Ρ Π½Π°Ρ ΠΎΠ΄ΠΈΡΡΡ Π² Π½Π΅ΡΠΊΠΎΠ»ΡΠΊΠΈΡ ΡΠΎΡΡΠΎΡΠ½ΠΈΡΡ .
ΠΠ°ΠΊΠ»ΡΡΠΈΡΠ΅Π»ΡΠ½ΠΎΠ΅ ΡΠΎΡΡΠΎΡΠ½ΠΈΠ΅ ΠΎΠ±ΠΎΠ·Π½Π°ΡΠ°Π΅ΡΡΡ Π΄Π²ΠΎΠΉΠ½ΡΠΌ ΠΊΡΡΠ³ΠΎΠΌ.
Π ΡΡΠ°ΡΡΠΎΠ²ΠΎΠΌ ΡΠΎΡΡΠΎΡΠ½ΠΈΠΈ Ρ Π½Π°Ρ ΡΠ΅ΠΊΡΡΠΈΠΌ ΡΠΎΡΡΠΎΡΠ½ΠΈΠ΅ΠΌ ΡΠ²Π»ΡΠ΅ΡΡΡ <1>, ΠΏΡΠΈ Π²Ρ ΠΎΠ΄Π½ΠΎΠΌ ΡΠΈΠΌΠ²ΠΎΠ»Π΅ ‘b’ Ρ Π½Π°Ρ ΠΏΠΎΡΠ²Π»ΡΠ΅ΡΡΡ Π²ΠΎΠ·ΠΌΠΎΠΆΠ½ΠΎΡΡΡ, ΠΏΠΎΠΉΡΠΈ Π² ΡΠΎΡΡΠΎΡΠ½ΠΈΠ΅ 1 ΠΈ Π² ΡΠΎΡΡΠΎΡΠ½ΠΈΠ΅ 2, ΡΠΎ Π΅ΡΡΡ ΠΏΠΎΡΠ»Π΅ Π²Ρ ΠΎΠ΄Π½ΠΎΠ³ΠΎ ΡΠΈΠΌΠ²ΠΎΠ»Π° ‘b’ ΡΠ΅ΠΊΡΡΠΈΠΌ ΡΠΎΡΡΠΎΡΠ½ΠΈΠ΅ΠΌ ΡΠ²Π»ΡΠ΅ΡΡΡ ΠΌΠ½ΠΎΠΆΠ΅ΡΡΠ²ΠΎ <1, 2>.
Π‘Π²ΠΎΠ±ΠΎΠ΄Π½ΡΠΌ ΠΏΠ΅ΡΠ΅Ρ ΠΎΠ΄ΠΎΠΌ ΠΎΠ±ΠΎΠ·Π½Π°ΡΠ°Π΅ΡΡΡ ΠΏΡΠ½ΠΊΡΠΈΡΠ½ΠΎΠΉ Π»ΠΈΠ½ΠΈΠ΅ΠΉ.
ΠΠ΄Π΅ΡΡ Π²ΠΈΠ΄Π½ΠΎ Π΄Π²Π° ΡΠ²ΠΎΠ±ΠΎΠ΄Π½ΡΡ ΠΏΠ΅ΡΠ΅Ρ ΠΎΠ΄Π° ΠΈΠ· ΡΡΠ°ΡΡΠΎΠ²ΠΎΠ³ΠΎ ΡΠΎΡΡΠΎΡΠ½ΠΈΡ, ΡΠΎ Π΅ΡΡΡ Π±Π΅Π· ΡΡΠ΅Π½ΠΈΡ Π²Ρ ΠΎΠ΄Π½ΠΎΠ³ΠΎ ΡΠΈΠΌΠ²ΠΎΠ»Π° ΠΌΡ ΡΡΠ°Π·Ρ Π½Π°Ρ ΠΎΠ΄ΠΈΠΌΡΡ Π² ΠΌΠ½ΠΎΠΆΠ΅ΡΡΠ²Π΅ ΡΠΎΡΡΠΎΡΠ½ΠΈΠΈ <2, 4>.
ΠΠ»Ρ ΠΏΡΠ΅ΠΎΠ±ΡΠ°Π·ΠΎΠ²Π°Π½ΠΈΡ ΠΠΠ Π² ΠΠΠ ΠΈΡΠΏΠΎΠ»ΡΠ·ΡΠ΅ΡΡΡ Π°Π»Π³ΠΎΡΠΈΡΠΌ Π’ΠΎΠΌΠΏΡΠΎΠ½Π°.
ΠΡΠΈ ΠΏΡΠ΅ΠΎΠ±ΡΠ°Π·ΠΎΠ²Π°Π½ΠΈΠΈ ΠΠΠ Π² ΠΠΠ ΠΌΠΎΠΆΠ΅Ρ ΠΏΠΎΠ»ΡΡΠΈΡΡΡΡ Π½Π΅ ΡΠΎΠ²ΡΠ΅ΠΌ ΠΌΠΈΠ½ΠΈΠΌΠ°Π»ΡΠ½ΡΠΉ ΠΠΠ ΠΈ Π΄Π»Ρ Π΅Π³ΠΎ ΠΌΠΈΠ½ΠΈΠΌΠΈΠ·Π°ΡΠΈΠΈ ΠΌΠΎΠΆΠ½ΠΎ ΠΏΡΠΈΠΌΠ΅Π½ΠΈΡΡ Π°Π»Π³ΠΎΡΠΈΡΠΌ ΠΡΠΆΠΎΠ·ΠΎΠ²ΡΠΊΠΎΠ³ΠΎ.
ΠΠΎΠ½Π΅ΡΠ½ΡΠ΅ Π°Π²ΡΠΎΠΌΠ°ΡΡ Ρ ΠΌΠ°Π³Π°Π·ΠΈΠ½Π½ΠΎΠΉ ΠΏΠ°ΠΌΡΡΡΡ (pushdown automaton)
ΠΡΠΎ ΡΠΎΡ ΠΆΠ΅ ΠΠ, Π½ΠΎ Ρ Π΄ΠΎΠΏΠΎΠ»Π½ΠΈΡΠ΅Π»ΡΠ½ΠΎΠΉ ΠΏΠ°ΠΌΡΡΡΡ Π² Π²ΠΈΠ΄Π΅ ΡΡΠ΅ΠΊΠ°. Π’Π΅ΠΏΠ΅ΡΡ Π΄Π»Ρ ΡΠΎΠ²Π΅ΡΡΠ΅Π½ΠΈΡ ΠΏΠ΅ΡΠ΅Ρ ΠΎΠ΄Π° Π½ΡΠΆΠ½ΠΎ ΡΡΠΈΡΡΠ²Π°ΡΡ Π΅ΡΠ΅ Π½Π΅ΡΠΊΠΎΠ»ΡΠΊΠΎ ΡΠ°ΠΊΡΠΎΡΠΎΠ², ΡΠΈΠΌΠ²ΠΎΠ» ΠΊΠΎΡΠΎΡΡΠΉ Π½ΡΠΆΠ½ΠΎ ΡΠ΄Π°Π»ΠΈΡΡ ΠΈΠ· ΡΡΠ΅ΠΊΠ° ΠΈ ΡΠΈΠΌΠ²ΠΎΠ»Ρ ΠΊΠΎΡΠΎΡΡΠ΅ Π½ΡΠΆΠ½ΠΎ Π΄ΠΎΠ±Π°Π²ΠΈΡΡ Π² ΡΡΠ΅ΠΊ.
ΠΠΠΠ ΠΌΠΎΠΆΠ½ΠΎ ΠΏΡΠΈΠΌΠ΅Π½ΡΡΡ Π² ΡΠ°ΠΊΠΈΡ ΠΌΠ΅ΡΡΠ°Ρ , Π³Π΄Π΅ ΠΌΠΎΠΆΠ΅Ρ Π±ΡΡΡ Π½Π΅ΠΎΠ³ΡΠ°Π½ΠΈΡΠ΅Π½Π½ΠΎΠ΅ ΠΊΠΎΠ»ΠΈΡΠ΅ΡΡΠ²ΠΎ Π²Π»ΠΎΠΆΠ΅Π½ΠΈΠΉ, Π½Π°ΠΏΡΠΈΠΌΠ΅Ρ ΠΏΡΠΈ ΡΠ°Π·Π±ΠΎΡΠ΅ ΡΠ·ΡΠΊΠΎΠ² ΠΏΡΠΎΠ³ΡΠ°ΠΌΠΌΠΈΡΠΎΠ²Π°Π½ΠΈΠ΅ ΠΈΠ»ΠΈ ΠΏΠΎΠ΄ΡΡΠ΅ΡΡ Π²Π»ΠΎΠΆΠ΅Π½Π½ΡΡ ΡΠΊΠΎΠ±ΠΎΠΊ Π² ΠΌΠ°ΡΠ΅ΠΌΠ°ΡΠΈΡΠ΅ΡΠΊΠΈΡ Π²ΡΡΠ°ΠΆΠ΅Π½ΠΈΡΡ . Π Π΅Π°Π»ΠΈΠ·ΠΎΠ²Π°ΡΡ Ρ ΠΏΠΎΠΌΠΎΡΡΡ ΠΠ Π½Π΅Π²ΠΎΠ·ΠΌΠΎΠΆΠ½ΠΎ, Π²Π΅Π΄Ρ ΠΊΠΎΠ»ΠΈΡΠ΅ΡΡΠ²ΠΎ Π²ΠΎΠ·ΠΌΠΎΠΆΠ½ΡΡ ΡΠΎΡΡΠΎΡΠ½ΠΈΠΉ ΠΊΠΎΠ½Π΅ΡΠ½ΠΎ Π² ΠΎΡΠ»ΠΈΡΠΈΠ΅ ΠΎΡ ΡΡΠ΅ΠΊΠ° (Ρ ΠΏΠΎΠ½ΠΈΠΌΠ°Ρ, ΡΡΠΎ ΠΏΠ°ΠΌΡΡΡ ΡΠΎΠΆΠ΅ ΠΊΠΎΠ½Π΅ΡΠ½Π°).
Π£Π΄Π°Π»Π΅Π½ΠΈΠ΅ ΡΠΈΠΌΠ²ΠΎΠ»Π° ΠΈΠ· ΡΡΠ΅ΠΊΠ° β ΠΏΡΠΈ Π»ΡΠ±ΠΎΠΌ ΠΏΠ΅ΡΠ΅Ρ ΠΎΠ΄Π΅ ΡΠ΅ΡΠ°Π΅ΡΡΡ ΠΊΠ°ΠΊΠΎΠΉ ΡΠΈΠΌΠ²ΠΎΠ» Π²ΡΡΠΎΠ»ΠΊΠ½ΡΡΡ, Π΅ΡΠ»ΠΈ Π½Π° Π²Π΅ΡΡΠΈΠ½Π΅ ΡΡΠ΅ΠΊΠ° Π½Π΅ ΠΎΠΊΠ°Π·Π°Π»ΠΎΡΡ ΡΠ°ΠΊΠΎΠ³ΠΎ ΡΠΈΠΌΠ²ΠΎΠ»Π°, ΡΠΎ ΠΎΠ½ ΠΈ Π½Π΅ Π²ΡΡΠ°Π»ΠΊΠΈΠ²Π°Π΅ΡΡΡ. Π’Π°ΠΊ ΠΆΠ΅ Π΅ΡΠ»ΠΈ ΡΠΈΠΌΠ²ΠΎΠ» Π½ΡΠΆΠ½ΠΎ ΠΎΡΡΠ°Π²ΠΈΡΡ Π² ΡΡΠ΅ΠΊΠ΅, ΡΠΎ ΠΎΠ½ Π΄ΠΎΠ±Π°Π²Π»ΡΠ΅ΡΡΡ Π²ΠΌΠ΅ΡΡΠ΅ Ρ Π΄ΠΎΠ±Π°Π²Π»ΡΠ΅ΠΌΡΠΌΠΈ ΡΠΈΠΌΠ²ΠΎΠ»Π°ΠΌΠΈ.
ΠΠΎΠ±Π°Π²Π»Π΅Π½ΠΈΠ΅ ΡΠΈΠΌΠ²ΠΎΠ»ΠΎΠ² Π² ΡΡΠ΅ΠΊ β ΠΏΡΠΈ Π»ΡΠ±ΠΎΠΌ ΠΏΠ΅ΡΠ΅Ρ ΠΎΠ΄Π΅ ΡΠ΅ΡΠ°Π΅Ρ ΠΊΠ°ΠΊΠΈΠ΅ ΡΠΈΠΌΠ²ΠΎΠ»Ρ Π΄ΠΎΠ±Π°Π²ΠΈΡΡ Π² ΡΡΠ΅ΠΊ.
ΠΡΠΎΡ ΠΠΠΠ ΠΏΠΎΠ΄ΡΡΠΈΡΡΠ²Π°Π΅Ρ Π²Π»ΠΎΠΆΠ΅Π½Π½ΠΎΡΡΡ ΡΠΊΠΎΠ±ΠΎΠΊ, Π·Π° ΡΡΠ΅Ρ Π΄ΠΎΠ±Π°Π²Π»Π΅Π½ΠΈΡ ΠΈ ΡΠ΄Π°Π»Π΅Π½ΠΈΡ ΡΠΈΠΌΠ²ΠΎΠ»ΠΎΠ² ΠΈΠ· ΡΡΠ΅ΠΊΠ°.
ΠΠΠΠ Π½Π΅ ΡΠ°Π²Π΅Π½ ΠΠΠΠ, ΠΏΠΎΡΡΠΎΠΌΡ Π½Π΅Π²ΠΎΠ·ΠΌΠΎΠΆΠ½ΠΎ ΠΎΠ΄Π½ΠΎ ΠΏΡΠ΅ΠΎΠ±ΡΠ°Π·ΠΎΠ²Π°ΡΡ Π² Π΄ΡΡΠ³ΠΎΠ΅, ΡΠ»Π΅Π΄ΠΎΠ²Π°ΡΠ΅Π»ΡΠ½ΠΎ ΠΠΠΠ ΠΎΠ±Π»Π°Π΄Π°Π΅Ρ ΠΏΡΠ΅ΠΈΠΌΡΡΠ΅ΡΡΠ²ΠΎΠΌ ΠΏΠ΅ΡΠ΅Π΄ ΠΠΠΠ.
ΠΠ°ΡΠΈΠ½Π° Π’ΡΡΡΠΈΠ½Π³Π° (Turing machine)
Π‘Π°ΠΌΠ°Ρ ΠΌΠΎΡΠ½Π°Ρ ΠΌΠ°ΡΠΈΠ½Π° ΠΈΠ· ΡΡΡΠ΅ΡΡΠ²ΡΡΡΠΈΡ , Π΅Π³ΠΎ ΠΏΡΠ΅ΠΈΠΌΡΡΠ΅ΡΡΠ²ΠΎ ΠΏΠ΅ΡΠ΅Π΄ Π΄ΡΡΠ³ΠΈΠΌΠΈ Π² Π»Π΅Π½ΡΠ΅ Ρ ΠΊΠΎΡΠΎΡΠΎΠΉ ΠΎΠ½ ΠΌΠΎΠΆΠ΅Ρ ΡΠ°Π±ΠΎΡΠ°ΡΡ ΠΊΠ°ΠΊ Ρ ΠΎΡΠ΅Ρ. Π Π½Π΅ΠΌ Π½Π΅Ρ ΡΠ²ΠΎΠ±ΠΎΠ΄Π½ΡΡ ΠΏΠ΅ΡΠ΅Ρ ΠΎΠ΄ΠΎΠ². Π£ΠΌΠ΅Π΅Ρ ΠΈΠ½ΡΠ΅ΡΠΏΡΠ΅ΡΠΈΡΠΎΠ²Π°ΡΡ Π΄ΡΡΠ³ΠΈΠ΅ Π°Π²ΡΠΎΠΌΠ°ΡΡ ΡΠ°ΠΊΠΈΠ΅ ΠΊΠ°ΠΊ ΠΠ, ΠΠΠΠ.
ΠΠ΅Π½ΡΠ° β ΡΡΠΎ ΠΎΠ΄Π½ΠΎΠΌΠ΅ΡΠ½ΡΠΉ ΠΌΠ°ΡΡΠΈΠ² Π² ΠΊΠΎΡΠΎΡΡΠΉ ΠΌΠΎΠ³ΡΡ Π·Π°ΠΏΠΈΡΡΠ²Π°ΡΡΡΡ Π΄Π°Π½Π½ΡΠ΅ Π·Π° ΡΡΠ΅Ρ Π³ΠΎΠ»ΠΎΠ²ΠΊΠΈ Π½Π°Π΄ ΡΡΠ΅ΠΉΠΊΠΎΠΉ, ΠΊΠΎΡΠΎΡΡΠΉ ΠΌΠΎΠΆΠ½ΠΎ Π·Π°ΡΠ°Π½Π΅Π΅ Π·Π°ΠΏΠΎΠ»Π½ΠΈΡΡ Π²Ρ ΠΎΠ΄Π½ΡΠΌΠΈ Π΄Π°Π½Π½ΡΠΌΠΈ.
Π¨Π°Π±Π»ΠΎΠ½: ΡΡΠΈΡΠ°Π½ΡΠΉ_ΡΠΈΠΌΠ²ΠΎΠ»_Ρ_Π³ΠΎΠ»ΠΎΠ²ΠΊΠΈ/Π·Π°ΠΏΠΈΡΠ°Π½ΡΠΉ_ΡΠΈΠΌΠ²ΠΎΠ»; ΡΡΠΎΡΠΎΠ½Π°_ΡΠΌΠ΅ΡΠ΅Π½ΠΈΡ_Π³ΠΎΠ»ΠΎΠ²ΠΊΠΈ. ΠΊΡΠ°Ρ Π»Π΅Π½ΡΡ ΠΎΠ±ΠΎΠ·Π½Π°ΡΠ°ΡΡΡΡ ‘_’.
ΠΡΠ° ΠΠ’ Π²ΡΠΏΠΎΠ»Π½ΡΠ΅Ρ ΠΈΠ½ΠΊΡΠ΅ΠΌΠ΅Π½Ρ Π΄Π²ΠΎΠΈΡΠ½ΠΎΠ³ΠΎ ΡΠΈΡΠ»Π°, Π³ΠΎΠ»ΠΎΠ²ΠΊΠ° ΡΡΠΎΠΈΡ ΡΠ»Π΅Π²Π°, ΡΠ°ΠΌ Π³Π΄Π΅ Π½Π°ΡΠΈΠ½Π°Π΅ΡΡΡ Π»Π΅Π½ΡΠ°.
ΠΠΠ’ ΡΠΊΠ²ΠΈΠ²Π°Π»Π΅Π½ΡΠ΅Π½ ΠΠΠ’, ΡΠ°ΠΊ, ΡΡΠΎ ΠΎΠ½ΠΈ ΡΠΎΠΆΠ΅ Π½Π΅ ΡΠ°Π·Π»ΠΈΡΠ°ΡΡΡΡ.
Π£Π½ΠΈΠ²Π΅ΡΡΠ°Π»ΡΠ½Π°Ρ ΠΌΠ°ΡΠΈΠ½Π° Π’ΡΡΡΠΈΠ½Π³Π° (universal Turing machine)
ΠΠ°ΡΠΈΠ½Π° ΠΊΠΎΡΠΎΡΠ°Ρ ΠΌΠΎΠΆΠ΅Ρ ΠΏΠΎΡΠΎΠΆΠ΄Π°ΡΡ Π΄ΡΡΠ³ΠΈΠ΅ ΠΌΠ°ΡΠΈΠ½Ρ Π’ΡΡΡΠΈΠ½Π³Π°, ΠΏΠΎΠ»ΡΡΠ°Ρ Π½Π° Π²Ρ ΠΎΠ΄Π½ΡΡ Π»Π΅Π½ΡΡ Π΄Π°Π½Π½ΡΠ΅ ΠΌΠ°ΡΠΈΠ½Ρ.
ΠΠ΅Π΄Π΅ΡΠ΅ΡΠΌΠΈΠ½ΠΈΡΠΎΠ²Π°Π½Π½ΡΠ΅ ΠΊΠΎΠ½Π΅ΡΠ½ΡΠ΅ Π°Π²ΡΠΎΠΌΠ°ΡΡ
ΠΠ²ΡΠΎΡ: Π‘Π΅ΡΠ³Π΅ΠΉ Π₯ΠΎΠ»ΠΎΠ΄ΠΈΠ»ΠΎΠ²
The RSDN Group
ΠΡΡΠΎΡΠ½ΠΈΠΊ: RSDN Magazine #2-2007
ΠΠΏΡΠ±Π»ΠΈΠΊΠΎΠ²Π°Π½ΠΎ: 30.07.2007
ΠΡΠΏΡΠ°Π²Π»Π΅Π½ΠΎ: 15.04.2009
ΠΠ΅ΡΡΠΈΡ ΡΠ΅ΠΊΡΡΠ°: 1.0
ΠΠ΅Π΄Π΅ΡΠ΅ΡΠΌΠΈΠ½ΠΈΡΠΎΠ²Π°Π½Π½ΡΠ΅ ΠΊΠΎΠ½Π΅ΡΠ½ΡΠ΅ Π°Π²ΡΠΎΠΌΠ°ΡΡ β ΠΎΠ΄Π½Π° ΠΈΠ· ΠΌΠΎΠ΄Π΅Π»Π΅ΠΉ, ΠΈΡΠΏΠΎΠ»ΡΠ·ΡΠ΅ΠΌΡΡ Π² ΡΠ΅ΠΎΡΠΈΠΈ Π²ΡΡΠΈΡΠ»Π΅Π½ΠΈΠΉ. ΠΡΡΠ΄ Π»ΠΈ Π²ΡΡ ΡΡΠΎ ΠΊΠΎΠ³Π΄Π°-Π½ΠΈΠ±ΡΠ΄Ρ ΠΏΡΠΈΠ³ΠΎΠ΄ΠΈΡΡΡ Π²Π°ΠΌ Β«ΠΏΠΎ ΠΆΠΈΠ·Π½ΠΈΒ»β¦ Π½ΠΎ, ΡΡΡΡ Π²ΠΎΠ·ΡΠΌΠΈ, ΠΌΠ°ΡΠ΅ΠΌΠ°ΡΠΈΠΊΠ° β ΡΡΠΎ ΠΈΠ½ΡΠ΅ΡΠ΅ΡΠ½ΠΎ! ΠΠΎ Π²ΡΡΠΊΠΎΠΌ ΡΠ»ΡΡΠ°Π΅, Π΄Π»Ρ ΠΌΠ΅Π½Ρ. Π Π΅ΡΠ»ΠΈ ΡΠΆ ΠΎΠ½Π° Ρ ΠΎΡΡ ΠΊΠ°ΠΊ-ΡΠΎ Ρ ΠΏΡΠΎΠ³ΡΠ°ΠΌΠΌΠΈΡΠΎΠ²Π°Π½ΠΈΠ΅ΠΌ ΡΠ²ΡΠ·Π°Π½Π°, ΡΠΎ ΠΈΠ½ΡΠ΅ΡΠ΅ΡΠ½Π° Π²Π΄Π²ΠΎΠΉΠ½Π΅.
Π― Π½Π΅ ΠΏΡΠ΅ΡΠ΅Π½Π΄ΡΡ Π½Π° ΠΌΠ°ΡΠ΅ΠΌΠ°ΡΠΈΡΠ΅ΡΠΊΡΡ ΡΡΡΠΎΠ³ΠΎΡΡΡ, ΠΏΠΎΠ»ΡΡΠΈΠ»ΠΎΡΡ ΡΡΠΎ-ΡΠΎ ΡΠΈΠΏΠ° Β«ΠΏΠΎΠΏΡΠ»ΡΡΠ½ΠΎΠΉ ΠΌΠ°ΡΠ΅ΠΌΠ°ΡΠΈΠΊΠΈ Π΄Π»Ρ ΡΠ°ΠΉΠ½ΠΈΠΊΠΎΠ²Β»β¦ ΠΠΎ Π½Π°Π΄ΠΎ ΠΆΠ΅ Ρ ΡΠ΅Π³ΠΎ-ΡΠΎ Π½Π°ΡΠΈΠ½Π°ΡΡ. Π ΠΏΡΠΈΡΡΠΌ Π·Π΄Π΅ΡΡ ΠΎΡΠΊΠΈ β ΠΏΠΎΠΉΠΌΡΡΠ΅ ΠΏΠΎ Ρ ΠΎΠ΄Ρ Π΄Π΅Π»Π° π
ΠΡΠΎΡΡΠΎ ΠΊΠΎΠ½Π΅ΡΠ½ΡΠ΅ Π°Π²ΡΠΎΠΌΠ°ΡΡ
Π‘ΠΊΠΎΡΠ΅Π΅ Π²ΡΠ΅Π³ΠΎ, Π²ΡΠ΅ Π±ΠΎΠ»Π΅Π΅-ΠΌΠ΅Π½Π΅Π΅ Π·Π½Π°ΡΡ, ΡΡΠΎ ΡΠ°ΠΊΠΎΠ΅ ΠΊΠΎΠ½Π΅ΡΠ½ΡΠ΅ Π°Π²ΡΠΎΠΌΠ°ΡΡ. ΠΡΠΎΠ±Π»Π΅ΠΌΠ° Π² ΡΠΎΠΌ, ΡΡΠΎ Ρ, Π½Π°ΠΏΡΠΈΠΌΠ΅Ρ, Π·Π½Π°Ρ ΡΡΠΈ Π²Π°ΡΠΈΠ°Π½ΡΠ°: ΠΊΠΎΠ½Π΅ΡΠ½ΡΠ΅ Π°Π²ΡΠΎΠΌΠ°ΡΡ ΠΡΡΠ°, ΠΊΠΎΠ½Π΅ΡΠ½ΡΠ΅ Π°Π²ΡΠΎΠΌΠ°ΡΡ ΠΠΈΠ»ΠΈ ΠΈ Β«ΠΏΡΠΎΡΡΠΎΒ» ΠΊΠΎΠ½Π΅ΡΠ½ΡΠ΅ Π°Π²ΡΠΎΠΌΠ°ΡΡ. ΠΠΎΡΠΊΠΎΠ»ΡΠΊΡ Π΄Π°Π»ΡΡΠ΅ Π½Π°ΠΌ ΠΏΠΎΡΡΠ΅Π±ΡΠ΅ΡΡΡ Π²ΠΏΠΎΠ»Π½Π΅ ΠΊΠΎΠ½ΠΊΡΠ΅ΡΠ½ΠΎΠ΅ ΠΎΠΏΡΠ΅Π΄Π΅Π»Π΅Π½ΠΈΠ΅, ΠΈΠΌΠ΅Π΅Ρ ΡΠΌΡΡΠ» Π²Π²Π΅ΡΡΠΈ Π΅Π³ΠΎ Π·Π΄Π΅ΡΡ.
ΠΡΠ°ΠΊ, Π΄Π΅ΡΠ΅ΡΠΌΠΈΠ½ΠΈΡΠΎΠ²Π°Π½Π½ΡΠΌ ΠΊΠΎΠ½Π΅ΡΠ½ΡΠΌ Π°Π²ΡΠΎΠΌΠ°ΡΠΎΠΌ (ΠΠΠ) Π½Π°Π·ΡΠ²Π°Π΅ΡΡΡ ΡΡΡΡΠΎΠΉΡΡΠ²ΠΎ, ΠΎΠΏΠΈΡΡΠ²Π°Π΅ΠΌΠΎΠ΅ ΡΠ»Π΅Π΄ΡΡΡΠΈΠΌΠΈ ΠΏΠ°ΡΠ°ΠΌΠ΅ΡΡΠ°ΠΌΠΈ:
Π ΡΡΠ½ΠΊΡΠΈΠΎΠ½ΠΈΡΡΡΡΠΈΠ΅ ΡΠ»Π΅Π΄ΡΡΡΠΈΠΌ ΠΎΠ±ΡΠ°Π·ΠΎΠΌ:
ΠΠΎΠ·ΠΌΠΎΠΆΠ½ΠΎ, Π±ΠΎΠ»Π΅Π΅ ΠΏΡΠΎΡΡΡΠΌ Π²Π°ΠΌ ΠΏΠΎΠΊΠ°ΠΆΠ΅ΡΡΡ ΡΠ»Π΅Π΄ΡΡΡΠ΅Π΅ ΠΎΠΏΡΠ΅Π΄Π΅Π»Π΅Π½ΠΈΠ΅: Π΄Π΅ΡΠ΅ΡΠΌΠΈΠ½ΠΈΡΠΎΠ²Π°Π½Π½ΡΠΌ ΠΊΠΎΠ½Π΅ΡΠ½ΡΠΌ Π°Π²ΡΠΎΠΌΠ°ΡΠΎΠΌ Π½Π°Π·ΡΠ²Π°Π΅ΡΡΡ ΡΠ°ΠΊΠΎΠΉ Π°Π²ΡΠΎΠΌΠ°Ρ, Π² ΠΊΠΎΡΠΎΡΠΎΠΌ ΠΏΡΠΈ Π»ΡΠ±ΠΎΠΉ Π΄Π°Π½Π½ΠΎΠΉ ΠΏΠΎΡΠ»Π΅Π΄ΠΎΠ²Π°ΡΠ΅Π»ΡΠ½ΠΎΡΡΠΈ Π²Ρ ΠΎΠ΄Π½ΡΡ ΡΠΈΠΌΠ²ΠΎΠ»ΠΎΠ² ΡΡΡΠ΅ΡΡΠ²ΡΠ΅Ρ Π»ΠΈΡΡ ΠΎΠ΄Π½ΠΎ ΡΠΎΡΡΠΎΡΠ½ΠΈΠ΅, Π² ΠΊΠΎΡΠΎΡΠΎΠ΅ Π°Π²ΡΠΎΠΌΠ°Ρ ΠΌΠΎΠΆΠ΅Ρ ΠΏΠ΅ΡΠ΅ΠΉΡΠΈ ΠΈΠ· ΡΠ΅ΠΊΡΡΠ΅Π³ΠΎ. β ΠΏΡΠΈΠΌ.ΡΠ΅Π΄.
Π Π°Π±ΠΎΡΠ° ΠΠΠ Π·Π°ΠΊΠ»ΡΡΠ°Π΅ΡΡΡ Π² ΡΠ°ΡΠΏΠΎΠ·Π½Π°Π²Π°Π½ΠΈΠΈ ΡΠ΅ΠΏΠΎΡΠ΅ΠΊ ΡΠΈΠΌΠ²ΠΎΠ»ΠΎΠ², ΠΏΡΠΈΠ½Π°Π΄Π»Π΅ΠΆΠ°ΡΠΈΡ ΠΌΠ½ΠΎΠΆΠ΅ΡΡΠ²Ρ Ξ£. ΠΡΠ»ΠΈ, ΠΎΠ±ΡΠ°Π±ΠΎΡΠ°Π² ΡΠ΅ΠΏΠΎΡΠΊΡ, Π°Π²ΡΠΎΠΌΠ°Ρ ΠΎΠΊΠ°Π·Π°Π»ΡΡ Π² Π΄ΠΎΠΏΡΡΠΊΠ°ΡΡΠ΅ΠΌ ΡΠΎΡΡΠΎΡΠ½ΠΈΠΈ, ΡΠΎ ΡΠ΅ΠΏΠΎΡΠΊΠ° ΡΡΠΈΡΠ°Π΅ΡΡΡ Π΄ΠΎΠΏΡΡΡΠΈΠΌΠΎΠΉ, Π΅ΡΠ»ΠΈ Π½Π΅Ρ, ΡΠΎ Π½Π΅Ρ. Π’Π°ΠΊΠΈΠΌ ΠΎΠ±ΡΠ°Π·ΠΎΠΌ, ΠΠΠ Π·Π°Π΄Π°ΡΡ Π½Π΅ΠΊΠΎΡΠΎΡΡΠΉ ΡΠ·ΡΠΊ β ΠΌΠ½ΠΎΠΆΠ΅ΡΡΠ²ΠΎ Π΄ΠΎΠΏΡΡΠΊΠ°Π΅ΠΌΡΡ ΠΈΠΌ ΡΠ΅ΠΏΠΎΡΠ΅ΠΊ, Π°Π»ΡΠ°Π²ΠΈΡ ΡΡΠΎΠ³ΠΎ ΡΠ·ΡΠΊΠ° β ΠΌΠ½ΠΎΠΆΠ΅ΡΡΠ²ΠΎ Ξ£.
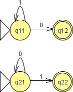
| ΠΠ ΠΠΠΠ§ΠΠΠΠ ΠΡΠΎ ΠΎΠΏΡΠ΅Π΄Π΅Π»Π΅Π½ΠΈΠ΅ ΠΊΠΎΠ½Π΅ΡΠ½ΠΎΠ³ΠΎ Π°Π²ΡΠΎΠΌΠ°ΡΠ° ΠΈΡΠΏΠΎΠ»ΡΠ·ΡΠ΅ΡΡΡ Π² ΡΠ΅ΠΎΡΠΈΠΈ Π²ΡΡΠΈΡΠ»Π΅Π½ΠΈΠΉ. ΠΠ²ΡΠΎΠΌΠ°ΡΡ ΠΡΡΠ° ΠΈ ΠΠΈΠ»ΠΈ ΠΈΡΠΏΠΎΠ»ΡΠ·ΡΡΡΡΡ, Π² ΠΎΡΠ½ΠΎΠ²Π½ΠΎΠΌ, ΠΏΡΠΈ ΠΏΡΠΎΠ΅ΠΊΡΠΈΡΠΎΠ²Π°Π½ΠΈΠΈ ΡΠΈΡΡΠΎΠ²ΠΎΠΉ Π°ΠΏΠΏΠ°ΡΠ°ΡΡΡΡ. ΠΠΎΠ½Π΅ΡΠ½ΡΠ΅ Π°Π²ΡΠΎΠΌΠ°ΡΡ ΡΠ΄ΠΎΠ±Π½ΠΎ ΠΈΠ·ΠΎΠ±ΡΠ°ΠΆΠ°ΡΡ Π³ΡΠ°ΡΠΈΡΠ΅ΡΠΊΠΈ. ΠΠ° ΡΠΈΡΡΠ½ΠΊΠ΅ 1 ΠΏΡΠΈΠ²Π΅Π΄ΡΠ½ Π½Π΅ΡΠ»ΠΎΠΆΠ½ΡΠΉ ΠΠΠ, Π΄ΠΎΠΏΡΡΠΊΠ°ΡΡΠΈΠΉ ΡΠ΅ΠΏΠΎΡΠΊΠΈ ΠΈΠ· 0 ΠΈ 1, Π·Π°ΠΊΠ°Π½ΡΠΈΠ²Π°ΡΡΠΈΠ΅ΡΡ ΡΠΈΠΌΠ²ΠΎΠ»ΠΎΠΌ 0. ΠΠ°ΡΠ°Π»ΡΠ½ΠΎΠ΅ ΡΠΎΡΡΠΎΡΠ½ΠΈΠ΅ ΠΏΠΎΠΌΠ΅ΡΠ΅Π½ΠΎ Π²Ρ ΠΎΠ΄ΡΡΠ΅ΠΉ Π² Π½Π΅Π³ΠΎ ΡΡΡΠ΅Π»ΠΎΡΠΊΠΎΠΉ (Π΄Π°, ΡΡΠΎΡ Π·Π΄ΠΎΡΠΎΠ²Π΅Π½Π½ΡΠΉ ΡΡΠ΅ΡΠ³ΠΎΠ»ΡΠ½ΠΈΠΊ Π² Π΄ΡΡΠ΅ β ΡΡΡΠ΅Π»ΠΎΡΠΊΠ°), Π΄ΠΎΠΏΡΡΠΊΠ°ΡΡΠ΅Π΅ (Π² Π΄Π°Π½Π½ΠΎΠΌ ΡΠ»ΡΡΠ°Π΅ ΠΎΠ½ΠΎ ΠΎΠ΄Π½ΠΎ) β Π΄Π²ΠΎΠΉΠ½ΡΠΌ ΠΊΡΡΠΆΠΊΠΎΠΌ. Π ΠΈΡΡΠ½ΠΎΠΊ 1. ΠΡΠΎΡΡΠΎΠΉ Π΄Π΅ΡΠ΅ΡΠΌΠΈΠ½ΠΈΡΠΎΠ²Π°Π½Π½ΡΠΉ ΠΊΠΎΠ½Π΅ΡΠ½ΡΠΉ Π°Π²ΡΠΎΠΌΠ°Ρ. ΠΡΠΎΡΠΎΠΉ Π²Π°ΡΠΈΠ°Π½Ρ ΠΈΠ·ΠΎΠ±ΡΠ°ΠΆΠ΅Π½ΠΈΡ Π°Π²ΡΠΎΠΌΠ°ΡΠΎΠ² β ΡΠ°Π±Π»ΠΈΡΠ° ΠΏΠ΅ΡΠ΅Ρ ΠΎΠ΄ΠΎΠ².
ΠΠΎ Π³ΠΎΡΠΈΠ·ΠΎΠ½ΡΠ°Π»ΠΈ ΠΎΡΠ»ΠΎΠΆΠ΅Π½Ρ ΡΠΈΠΌΠ²ΠΎΠ»Ρ Π²Ρ ΠΎΠ΄Π½ΠΎΠ³ΠΎ Π°Π»ΡΠ°Π²ΠΈΡΠ°, ΠΏΠΎ Π²Π΅ΡΡΠΈΠΊΠ°Π»ΠΈ β ΡΠΎΡΡΠΎΡΠ½ΠΈΡ, Π½Π°ΡΠ°Π»ΡΠ½ΠΎΠ΅ ΡΠΎΡΡΠΎΡΠ½ΠΈΠ΅ ΠΎΡΠΌΠ΅ΡΠ΅Π½ΠΎ ΡΡΡΠ΅Π»ΠΎΡΠΊΠΎΠΉ, Π° Π΄ΠΎΠΏΡΡΠΊΠ°ΡΡΠΈΠ΅ β Π·Π²ΡΠ·Π΄ΠΎΡΠΊΠ°ΠΌΠΈ. ΠΡΠΎΡ ΡΠΏΠΎΡΠΎΠ± ΠΈΠ·ΠΎΠ±ΡΠ°ΠΆΠ΅Π½ΠΈΡ ΠΌΠ΅Π½Π΅Π΅ Π½Π°Π³Π»ΡΠ΄Π΅Π½, ΠΈ ΠΏΡΠΈΠ²Π΅Π΄ΡΠ½ ΡΠΎΠ»ΡΠΊΠΎ Π² ΠΊΠ°ΡΠ΅ΡΡΠ²Π΅ ΠΏΡΠΈΠΌΠ΅ΡΠ°, ΠΈΡΠΏΠΎΠ»ΡΠ·ΠΎΠ²Π°ΡΡ Π΅Π³ΠΎ Β«Π΄Π»Ρ Π΄Π΅Π»Π°Β» Ρ Π½Π΅ Π±ΡΠ΄Ρ. ΠΠΎΠ±Π°Π²Π»ΡΠ΅ΠΌ Π½Π΅Π΄Π΅ΡΠ΅ΡΠΌΠΈΠ½ΠΈΡΠΎΠ²Π°Π½Π½ΠΎΡΡΡΠΠΏΡΠ΅Π΄Π΅Π»Π΅Π½ΠΈΠ΅ Π½Π΅Π΄Π΅ΡΠ΅ΡΠΌΠΈΠ½ΠΈΡΠΎΠ²Π°Π½Π½ΠΎΠ³ΠΎ ΠΊΠΎΠ½Π΅ΡΠ½ΠΎΠ³ΠΎ Π°Π²ΡΠΎΠΌΠ°ΡΠ° (ΠΠΠ) ΠΏΡΠ°ΠΊΡΠΈΡΠ΅ΡΠΊΠΈ ΠΏΠΎΠ»Π½ΠΎΡΡΡΡ ΠΏΠΎΠ²ΡΠΎΡΡΠ΅Ρ ΠΏΡΠΈΠ²Π΅Π΄ΡΠ½Π½ΠΎΠ΅ Π²ΡΡΠ΅ ΠΎΠΏΡΠ΅Π΄Π΅Π»Π΅Π½ΠΈΠ΅ ΠΠΠ. ΠΡΠ»ΠΈΡΠΈΠΉ Π²ΡΠ΅Π³ΠΎ Π΄Π²Π°: ΠΠΠ ΡΠΎΠΆΠ΅ ΡΠ°ΡΠΏΠΎΠ·Π½Π°ΡΡ ΡΠ΅ΠΏΠΎΡΠΊΠΈ ΡΠΈΠΌΠ²ΠΎΠ»ΠΎΠ², ΡΠ΅ΠΏΠΎΡΠΊΠ° ΡΡΠΈΡΠ°Π΅ΡΡΡ Π΄ΠΎΠΏΡΡΡΠΈΠΌΠΎΠΉ, Π΅ΡΠ»ΠΈ ΠΏΠΎΡΠ»Π΅ Π΅Ρ ΠΎΠ±ΡΠ°Π±ΠΎΡΠΊΠΈ ΠΌΠ½ΠΎΠΆΠ΅ΡΡΠ²ΠΎ ΡΠΎΡΡΠΎΡΠ½ΠΈΠΉ, Π² ΠΊΠΎΡΠΎΡΠΎΠΌ ΠΎΠΊΠ°Π·Π°Π»ΡΡ Π°Π²ΡΠΎΠΌΠ°Ρ, ΡΠΎΠ΄Π΅ΡΠΆΠΈΡ Ρ ΠΎΡΡ Π±Ρ ΠΎΠ΄Π½ΠΎ Π΄ΠΎΠΏΡΡΠΊΠ°ΡΡΠ΅Π΅. Π’Π°ΠΊΠΈΠΌ ΠΎΠ±ΡΠ°Π·ΠΎΠΌ, ΠΠΠ ΡΠ°ΠΊΠΆΠ΅ Π·Π°Π΄Π°ΡΡ Π½Π΅ΠΊΠΎΡΠΎΡΡΠΉ ΡΠ·ΡΠΊ. ΠΠ° ΡΠΈΡΡΠ½ΠΊΠ΅ 2 ΠΈΠ·ΠΎΠ±ΡΠ°ΠΆΡΠ½ ΠΏΡΠΎΡΡΠΎΠΉ ΠΠΠ, Π΄ΠΎΠΏΡΡΠΊΠ°ΡΡΠΈΠΉ ΡΠ΅ΠΏΠΎΡΠΊΠΈ ΠΈΠ· 0 ΠΈ 1, Π·Π°ΠΊΠ°Π½ΡΠΈΠ²Π°ΡΡΠΈΠ΅ΡΡ Π½Π° 00. Π ΠΈΡΡΠ½ΠΎΠΊ 2. ΠΡΠΎΡΡΠΎΠΉ Π½Π΅Π΄Π΅ΡΠ΅ΡΠΌΠΈΠ½ΠΈΡΠΎΠ²Π°Π½Π½ΡΠΉ ΠΊΠΎΠ½Π΅ΡΠ½ΡΠΉ Π°Π²ΡΠΎΠΌΠ°Ρ. ΠΡΠΎΡ ΠΆΠ΅ Π°Π²ΡΠΎΠΌΠ°Ρ Π² Π²ΠΈΠ΄Π΅ ΡΠ°Π±Π»ΠΈΡΡ:
Π Π°Π·Π±Π΅ΡΡΠΌΡΡ, ΠΊΠ°ΠΊ ΠΎΠ½ ΡΠ°Π±ΠΎΡΠ°Π΅Ρ. ΠΠΎΠ΄Ρ ΠΎΠ΄ β1ΠΠΎΠΏΡΡΡΠΈΠΌ, Π½Π° Π²Ρ ΠΎΠ΄ Π°Π²ΡΠΎΠΌΠ°ΡΡ ΠΏΠΎΡΡΡΠΏΠΈΠ»Π° ΡΠ΅ΠΏΠΎΡΠΊΠ° Β«100100Β». ΠΠ΅Π΄Π΅ΡΠ΅ΡΠΌΠΈΠ½ΠΈΡΠΎΠ²Π°Π½Π½ΡΠ΅ ΠΊΠΎΠ½Π΅ΡΠ½ΡΠ΅ Π°Π²ΡΠΎΠΌΠ°ΡΡΠΠ²ΡΠΎΡ: Π‘Π΅ΡΠ³Π΅ΠΉ Π₯ΠΎΠ»ΠΎΠ΄ΠΈΠ»ΠΎΠ² |
| ΠΠ ΠΠΠΠ§ΠΠΠΠ ΠΡΠΎ ΠΎΠΏΡΠ΅Π΄Π΅Π»Π΅Π½ΠΈΠ΅ ΠΊΠΎΠ½Π΅ΡΠ½ΠΎΠ³ΠΎ Π°Π²ΡΠΎΠΌΠ°ΡΠ° ΠΈΡΠΏΠΎΠ»ΡΠ·ΡΠ΅ΡΡΡ Π² ΡΠ΅ΠΎΡΠΈΠΈ Π²ΡΡΠΈΡΠ»Π΅Π½ΠΈΠΉ. ΠΠ²ΡΠΎΠΌΠ°ΡΡ ΠΡΡΠ° ΠΈ ΠΠΈΠ»ΠΈ ΠΈΡΠΏΠΎΠ»ΡΠ·ΡΡΡΡΡ, Π² ΠΎΡΠ½ΠΎΠ²Π½ΠΎΠΌ, ΠΏΡΠΈ ΠΏΡΠΎΠ΅ΠΊΡΠΈΡΠΎΠ²Π°Π½ΠΈΠΈ ΡΠΈΡΡΠΎΠ²ΠΎΠΉ Π°ΠΏΠΏΠ°ΡΠ°ΡΡΡΡ. ΠΠΎΠ½Π΅ΡΠ½ΡΠ΅ Π°Π²ΡΠΎΠΌΠ°ΡΡ ΡΠ΄ΠΎΠ±Π½ΠΎ ΠΈΠ·ΠΎΠ±ΡΠ°ΠΆΠ°ΡΡ Π³ΡΠ°ΡΠΈΡΠ΅ΡΠΊΠΈ. ΠΠ° ΡΠΈΡΡΠ½ΠΊΠ΅ 1 ΠΏΡΠΈΠ²Π΅Π΄ΡΠ½ Π½Π΅ΡΠ»ΠΎΠΆΠ½ΡΠΉ ΠΠΠ, Π΄ΠΎΠΏΡΡΠΊΠ°ΡΡΠΈΠΉ ΡΠ΅ΠΏΠΎΡΠΊΠΈ ΠΈΠ· 0 ΠΈ 1, Π·Π°ΠΊΠ°Π½ΡΠΈΠ²Π°ΡΡΠΈΠ΅ΡΡ ΡΠΈΠΌΠ²ΠΎΠ»ΠΎΠΌ 0. ΠΠ°ΡΠ°Π»ΡΠ½ΠΎΠ΅ ΡΠΎΡΡΠΎΡΠ½ΠΈΠ΅ ΠΏΠΎΠΌΠ΅ΡΠ΅Π½ΠΎ Π²Ρ ΠΎΠ΄ΡΡΠ΅ΠΉ Π² Π½Π΅Π³ΠΎ ΡΡΡΠ΅Π»ΠΎΡΠΊΠΎΠΉ (Π΄Π°, ΡΡΠΎΡ Π·Π΄ΠΎΡΠΎΠ²Π΅Π½Π½ΡΠΉ ΡΡΠ΅ΡΠ³ΠΎΠ»ΡΠ½ΠΈΠΊ Π² Π΄ΡΡΠ΅ β ΡΡΡΠ΅Π»ΠΎΡΠΊΠ°), Π΄ΠΎΠΏΡΡΠΊΠ°ΡΡΠ΅Π΅ (Π² Π΄Π°Π½Π½ΠΎΠΌ ΡΠ»ΡΡΠ°Π΅ ΠΎΠ½ΠΎ ΠΎΠ΄Π½ΠΎ) β Π΄Π²ΠΎΠΉΠ½ΡΠΌ ΠΊΡΡΠΆΠΊΠΎΠΌ. ΠΡΠΎΡΠΎΠΉ Π²Π°ΡΠΈΠ°Π½Ρ ΠΈΠ·ΠΎΠ±ΡΠ°ΠΆΠ΅Π½ΠΈΡ Π°Π²ΡΠΎΠΌΠ°ΡΠΎΠ² β ΡΠ°Π±Π»ΠΈΡΠ° ΠΏΠ΅ΡΠ΅Ρ ΠΎΠ΄ΠΎΠ².
ΠΠΎ Π³ΠΎΡΠΈΠ·ΠΎΠ½ΡΠ°Π»ΠΈ ΠΎΡΠ»ΠΎΠΆΠ΅Π½Ρ ΡΠΈΠΌΠ²ΠΎΠ»Ρ Π²Ρ ΠΎΠ΄Π½ΠΎΠ³ΠΎ Π°Π»ΡΠ°Π²ΠΈΡΠ°, ΠΏΠΎ Π²Π΅ΡΡΠΈΠΊΠ°Π»ΠΈ β ΡΠΎΡΡΠΎΡΠ½ΠΈΡ, Π½Π°ΡΠ°Π»ΡΠ½ΠΎΠ΅ ΡΠΎΡΡΠΎΡΠ½ΠΈΠ΅ ΠΎΡΠΌΠ΅ΡΠ΅Π½ΠΎ ΡΡΡΠ΅Π»ΠΎΡΠΊΠΎΠΉ, Π° Π΄ΠΎΠΏΡΡΠΊΠ°ΡΡΠΈΠ΅ β Π·Π²ΡΠ·Π΄ΠΎΡΠΊΠ°ΠΌΠΈ. ΠΡΠΎΡ ΡΠΏΠΎΡΠΎΠ± ΠΈΠ·ΠΎΠ±ΡΠ°ΠΆΠ΅Π½ΠΈΡ ΠΌΠ΅Π½Π΅Π΅ Π½Π°Π³Π»ΡΠ΄Π΅Π½, ΠΈ ΠΏΡΠΈΠ²Π΅Π΄ΡΠ½ ΡΠΎΠ»ΡΠΊΠΎ Π² ΠΊΠ°ΡΠ΅ΡΡΠ²Π΅ ΠΏΡΠΈΠΌΠ΅ΡΠ°, ΠΈΡΠΏΠΎΠ»ΡΠ·ΠΎΠ²Π°ΡΡ Π΅Π³ΠΎ Β«Π΄Π»Ρ Π΄Π΅Π»Π°Β» Ρ Π½Π΅ Π±ΡΠ΄Ρ. ΠΠΎΠ±Π°Π²Π»ΡΠ΅ΠΌ Π½Π΅Π΄Π΅ΡΠ΅ΡΠΌΠΈΠ½ΠΈΡΠΎΠ²Π°Π½Π½ΠΎΡΡΡΠΠΏΡΠ΅Π΄Π΅Π»Π΅Π½ΠΈΠ΅ Π½Π΅Π΄Π΅ΡΠ΅ΡΠΌΠΈΠ½ΠΈΡΠΎΠ²Π°Π½Π½ΠΎΠ³ΠΎ ΠΊΠΎΠ½Π΅ΡΠ½ΠΎΠ³ΠΎ Π°Π²ΡΠΎΠΌΠ°ΡΠ° (ΠΠΠ) ΠΏΡΠ°ΠΊΡΠΈΡΠ΅ΡΠΊΠΈ ΠΏΠΎΠ»Π½ΠΎΡΡΡΡ ΠΏΠΎΠ²ΡΠΎΡΡΠ΅Ρ ΠΏΡΠΈΠ²Π΅Π΄ΡΠ½Π½ΠΎΠ΅ Π²ΡΡΠ΅ ΠΎΠΏΡΠ΅Π΄Π΅Π»Π΅Π½ΠΈΠ΅ ΠΠΠ. ΠΡΠ»ΠΈΡΠΈΠΉ Π²ΡΠ΅Π³ΠΎ Π΄Π²Π°: ΠΠΠ ΡΠΎΠΆΠ΅ ΡΠ°ΡΠΏΠΎΠ·Π½Π°ΡΡ ΡΠ΅ΠΏΠΎΡΠΊΠΈ ΡΠΈΠΌΠ²ΠΎΠ»ΠΎΠ², ΡΠ΅ΠΏΠΎΡΠΊΠ° ΡΡΠΈΡΠ°Π΅ΡΡΡ Π΄ΠΎΠΏΡΡΡΠΈΠΌΠΎΠΉ, Π΅ΡΠ»ΠΈ ΠΏΠΎΡΠ»Π΅ Π΅Ρ ΠΎΠ±ΡΠ°Π±ΠΎΡΠΊΠΈ ΠΌΠ½ΠΎΠΆΠ΅ΡΡΠ²ΠΎ ΡΠΎΡΡΠΎΡΠ½ΠΈΠΉ, Π² ΠΊΠΎΡΠΎΡΠΎΠΌ ΠΎΠΊΠ°Π·Π°Π»ΡΡ Π°Π²ΡΠΎΠΌΠ°Ρ, ΡΠΎΠ΄Π΅ΡΠΆΠΈΡ Ρ ΠΎΡΡ Π±Ρ ΠΎΠ΄Π½ΠΎ Π΄ΠΎΠΏΡΡΠΊΠ°ΡΡΠ΅Π΅. Π’Π°ΠΊΠΈΠΌ ΠΎΠ±ΡΠ°Π·ΠΎΠΌ, ΠΠΠ ΡΠ°ΠΊΠΆΠ΅ Π·Π°Π΄Π°ΡΡ Π½Π΅ΠΊΠΎΡΠΎΡΡΠΉ ΡΠ·ΡΠΊ. ΠΠ° ΡΠΈΡΡΠ½ΠΊΠ΅ 2 ΠΈΠ·ΠΎΠ±ΡΠ°ΠΆΡΠ½ ΠΏΡΠΎΡΡΠΎΠΉ ΠΠΠ, Π΄ΠΎΠΏΡΡΠΊΠ°ΡΡΠΈΠΉ ΡΠ΅ΠΏΠΎΡΠΊΠΈ ΠΈΠ· 0 ΠΈ 1, Π·Π°ΠΊΠ°Π½ΡΠΈΠ²Π°ΡΡΠΈΠ΅ΡΡ Π½Π° 00. ΠΡΠΎΡ ΠΆΠ΅ Π°Π²ΡΠΎΠΌΠ°Ρ Π² Π²ΠΈΠ΄Π΅ ΡΠ°Π±Π»ΠΈΡΡ:
Π Π°Π·Π±Π΅ΡΡΠΌΡΡ, ΠΊΠ°ΠΊ ΠΎΠ½ ΡΠ°Π±ΠΎΡΠ°Π΅Ρ. ΠΠΎΠ΄Ρ ΠΎΠ΄ β1ΠΠΎΠΏΡΡΡΠΈΠΌ, Π½Π° Π²Ρ ΠΎΠ΄ Π°Π²ΡΠΎΠΌΠ°ΡΡ ΠΏΠΎΡΡΡΠΏΠΈΠ»Π° ΡΠ΅ΠΏΠΎΡΠΊΠ° Β«100100Β». ΠΠΎΠ΄Ρ ΠΎΠ΄ β2ΠΠ΅Π½Π΅Π΅ ΡΠΎΡΠΌΠ°Π»ΡΠ½ΠΎΠ΅, Π½ΠΎ Π½Π΅ΠΌΠ½ΠΎΠ³ΠΎ Π±ΠΎΠ»Π΅Π΅ Π½Π°Π³Π»ΡΠ΄Π½ΠΎΠ΅ ΠΏΡΠ΅Π΄ΡΡΠ°Π²Π»Π΅Π½ΠΈΠ΅ ΠΎΠ±ΡΠ°Π±ΠΎΡΠΊΠΈ ΡΠΎΠΉ ΠΆΠ΅ ΡΠ΅ΠΏΠΎΡΠΊΠΈ ΡΠ΅ΠΌ ΠΆΠ΅ Π°Π²ΡΠΎΠΌΠ°ΡΠΎΠΌ ΠΈΠ·ΠΎΠ±ΡΠ°ΠΆΠ΅Π½ΠΎ Π½Π° ΡΠΈΡΡΠ½ΠΊΠ΅ 3. Π Π΄Π°Π½Π½ΠΎΠΌ ΡΠ»ΡΡΠ°Π΅ ΠΌΡ Π½Π΅ΡΠΊΠΎΠ»ΡΠΊΠΎ ΡΠ΄Π°Π»ΡΠ΅ΠΌΡΡ ΠΎΡ ΠΎΠΏΡΠ΅Π΄Π΅Π»Π΅Π½ΠΈΡ ΠΠΠ (ΠΌΠ½ΠΎΠΆΠ΅ΡΡΠ²Π° ΡΠΎΡΡΠΎΡΠ½ΠΈΠΉ Π½Π΅ ΠΏΡΠ΅Π΄ΡΡΠ°Π²Π»Π΅Π½Ρ ΡΠ°ΠΊ ΡΠ²Π½ΠΎ). ΠΠ°ΡΡΠΈΠ½ΠΊΠ° ΠΎΡΠ½ΠΎΠ²Π°Π½Π° Π½Π° ΡΠ»Π΅Π΄ΡΡΡΠ΅ΠΉ ΠΈΠ΄Π΅Π΅: ΠΊΠ°ΠΆΠ΄ΡΠΉ ΡΠ°Π·, ΠΊΠΎΠ³Π΄Π° ΠΏΠΎ Π²Ρ ΠΎΠ΄Π½ΠΎΠΌΡ ΡΠΈΠΌΠ²ΠΎΠ»Ρ Π²ΠΎΠ·ΠΌΠΎΠΆΠ΅Π½ ΠΏΠ΅ΡΠ΅Ρ ΠΎΠ΄ Π² Π½Π΅ΡΠΊΠΎΠ»ΡΠΊΠΎ ΡΠΎΡΡΠΎΡΠ½ΠΈΠΉ, ΠΏΠΎΡΠΎΠΆΠ΄Π°Π΅ΡΡΡ Π½ΠΎΠ²Π°Ρ Π²Π΅ΡΠΊΠ° Π²ΡΡΠΈΡΠ»Π΅Π½ΠΈΠΉ, ΠΊΠΎΠ³Π΄Π° ΠΏΠ΅ΡΠ΅Ρ ΠΎΠ΄ΠΎΠ² Π½Π΅Ρ β Π²Π΅ΡΠΊΠ° Β«Π·Π°ΡΡΡ Π°Π΅ΡΒ». ΠΡΠ»ΠΈ Ρ ΠΎΡΡ ΠΎΠ΄Π½Π° ΠΈΠ· Β«ΠΆΠΈΠ²ΡΡ Β» Π²Π΅ΡΠΎΠΊ Π²Π΅Π΄ΡΡ Π² Π΄ΠΎΠΏΡΡΠΊΠ°ΡΡΠ΅Π΅ ΡΠΎΡΡΠΎΡΠ½ΠΈΠ΅ β ΡΠ΅ΠΏΠΎΡΠΊΠ° Π΄ΠΎΠΏΡΡΠ΅Π½Π°. Π ΠΎΠ±ΡΠ΅ΠΌ, ΠΏΠΎΠ΄Ρ ΠΎΠ΄Ρ Π΄Π°ΡΡ Π°Π½Π°Π»ΠΎΠ³ΠΈΡΠ½ΡΠ΅ ΡΠ΅Π·ΡΠ»ΡΡΠ°ΡΡ, Π·Π° ΠΈΡΠΊΠ»ΡΡΠ΅Π½ΠΈΠ΅ΠΌ ΠΎΠ΄Π½ΠΎΠΉ ΠΌΠ΅Π»ΠΎΡΠΈ. Π‘Π»Π΅Π³ΠΊΠ° ΠΈΠ·ΠΌΠ΅Π½ΡΠ½Π½ΡΠΉ ΠΠΠ, ΠΈΠ·ΠΎΠ±ΡΠ°ΠΆΡΠ½Π½ΡΠΉ Π½Π° ΡΠΈΡΡΠ½ΠΊΠ΅ 4, Π΄ΠΎΠΏΡΡΠΊΠ°Π΅Ρ Π»ΡΠ±ΡΡ ΡΠ΅ΠΏΠΎΡΠΊΡ ΡΠΈΠΌΠ²ΠΎΠ»ΠΎΠ² <0, 1>, ΡΠΎΠ΄Π΅ΡΠΆΠ°ΡΡΡ Π΄Π²Π° Π½ΡΠ»Ρ ΠΏΠΎΠ΄ΡΡΠ΄. ΠΡΠ»ΠΈ ΠΊΠ°ΠΆΠ΄ΡΠΉ ΡΠ°Π· ΡΠ΅ΡΡΠ½ΠΎ ΠΏΠΎΡΠΎΠΆΠ΄Π°ΡΡ Π½ΠΎΠ²ΡΡ Π²Π΅ΡΠΊΡ, ΡΠΎ ΠΏΡΠΈ ΠΎΠ±ΡΠ°Π±ΠΎΡΠΊΠ΅ ΡΠ΅ΠΏΠΎΡΠΊΠΈ Β«1001001β¦.Β» ΠΏΠΎΠ»ΡΡΠΈΡΡΡ Π΄Π΅ΡΠ΅Π²ΠΎ, ΠΈΠ·ΠΎΠ±ΡΠ°ΠΆΡΠ½Π½ΠΎΠ΅ Π½Π° ΡΠΈΡΡΠ½ΠΊΠ΅ 5. ΠΠΎΠ½ΡΡΠ½ΠΎ, ΡΡΠΎ Π΄Π²Π΅ Π½ΠΈΠΆΠ½ΠΈΠ΅ Π²Π΅ΡΠΊΠΈ ΠΏΠΎΠ»Π½ΠΎΡΡΡΡ ΡΠΎΠ²ΠΏΠ°Π΄Π°ΡΡ (ΠΎΠ½ΠΈ ΠΏΡΠ΅Π΄ΡΡΠ°Π²Π»ΡΡΡ ΠΎΠ΄ΠΈΠ½Π°ΠΊΠΎΠ²ΡΠ΅ ΡΠΎΡΡΠΎΡΠ½ΠΈΡ Π°Π²ΡΠΎΠΌΠ°ΡΠ°, ΠΏΠΎΠ»ΡΡΠ°ΡΡ ΠΎΠ΄ΠΈΠ½Π°ΠΊΠΎΠ²ΡΠ΅ Π²Ρ ΠΎΠ΄Ρ, Π·Π½Π°ΡΠΈΡ ΠΈ ΡΠ΅Π·ΡΠ»ΡΡΠ°ΡΡ Π±ΡΠ΄ΡΡ ΠΎΠ΄ΠΈΠ½Π°ΠΊΠΎΠ²ΡΠ΅), Π±ΠΎΠ»Π΅Π΅ ΡΠΎΠ³ΠΎ, ΠΊΠ°ΠΆΠ΄ΡΠΉ ΡΠ°Π·, ΠΊΠΎΠ³Π΄Π° Π² ΡΠ΅ΠΏΠΎΡΠΊΠ΅ Π±ΡΠ΄Π΅Ρ Π²ΡΡΡΠ΅ΡΠ°ΡΡΡΡ 00, Π±ΡΠ΄Π΅Ρ ΠΏΠΎΡΠΎΠΆΠ΄Π°ΡΡΡΡ Π΅ΡΡ ΠΎΠ΄Π½Π° ΡΠΎΡΠ½ΠΎ ΡΠ°ΠΊΠ°Ρ ΠΆΠ΅ Π²Π΅ΡΠΊΠ°. ΠΠΎΠΆΠ½ΠΎ Π΄ΠΎΠ±Π°Π²ΠΈΡΡ ΡΠ»ΠΈΡΠ½ΠΈΠ΅ ΠΎΠ΄ΠΈΠ½Π°ΠΊΠΎΠ²ΡΡ Π²Π΅ΡΠΎΠΊ, Π½ΠΎ ΡΡΠΎ ΡΠΌΠ΅Π½ΡΡΠΈΡ Π½Π°Π³Π»ΡΠ΄Π½ΠΎΡΡΡ. Π ΠΏΠΎΠ΄Ρ ΠΎΠ΄Π΅, ΠΎΡΠ½ΠΎΠ²Π°Π½Π½ΠΎΠΌ Π½Π° ΠΌΠ½ΠΎΠΆΠ΅ΡΡΠ²Π°Ρ , ΡΠ»ΠΈΡΠ½ΠΈΠ΅ ΠΏΡΠΎΠΈΡΡ ΠΎΠ΄ΠΈΡ Π°Π²ΡΠΎΠΌΠ°ΡΠΈΡΠ΅ΡΠΊΠΈ β ΠΌΠ½ΠΎΠΆΠ΅ΡΡΠ²ΠΎ Π½Π΅ ΠΌΠΎΠΆΠ΅Ρ ΡΠΎΠ΄Π΅ΡΠΆΠ°ΡΡ Π΄Π²Π° ΠΎΠ΄ΠΈΠ½Π°ΠΊΠΎΠ²ΡΡ ΡΠ»Π΅ΠΌΠ΅Π½ΡΠ°. ΠΠΎΠ΄Ρ ΠΎΠ΄ β3ΠΠ°ΠΈΠΌΠ΅Π½Π΅Π΅ ΡΠΎΡΠΌΠ°Π»ΡΠ½ΡΠΉ ΠΏΠΎΠ΄Ρ ΠΎΠ΄ ΠΊ ΠΎΠΏΠΈΡΠ°Π½ΠΈΡ ΡΠ°Π±ΠΎΡΡ ΠΠΠ ΠΎΡΠ½ΠΎΠ²Π°Π½ Π½Π° ΡΠΎΠΌ, ΡΡΠΎ ΠΎΠ½ Β«ΡΠ³Π°Π΄ΡΠ²Π°Π΅ΡΒ». ΠΠ΅ΡΠ½ΡΠΌΡΡ ΠΊ Π°Π²ΡΠΎΠΌΠ°ΡΡ Π½Π° ΡΠΈΡΡΠ½ΠΊΠ΅ 2 ΠΈ ΡΠ΅ΠΏΠΎΡΠΊΠ΅ Β«100100Β». Π’ΠΎ Π΅ΡΡΡ, ΡΠ°ΠΊΡΠΈΡΠ΅ΡΠΊΠΈ, ΠΌΡ Π²Π·ΡΠ»ΠΈ Π΄Π΅ΡΠ΅Π²ΠΎ ΠΈΠ· ΠΏΠΎΠ΄Ρ ΠΎΠ΄Π° β2, ΠΈ ΠΎΠ±ΡΠ΅Π·Π°Π»ΠΈ Π²ΡΠ΅ Π²Π΅ΡΠΊΠΈ, ΠΊΡΠΎΠΌΠ΅ ΠΎΠ΄Π½ΠΎΠΉ β Π½Π°ΠΈΠ±ΠΎΠ»Π΅Π΅ ΡΡΠΏΠ΅ΡΠ½ΠΎΠΉ. β¦ ΠΈ ΡΠΏΡΠΈΠ»ΠΎΠ½-ΠΏΠ΅ΡΠ΅Ρ ΠΎΠ΄ΡΠΠ΅Π±ΠΎΠ»ΡΡΠΎΠ΅ ΠΏΠΎΠ»Π΅Π·Π½ΠΎΠ΅ ΡΠ°ΡΡΠΈΡΠ΅Π½ΠΈΠ΅ ΡΡΠ°Π½Π΄Π°ΡΡΠ½ΠΎΠ³ΠΎ ΠΠΠ β Ξ΅-ΠΠΠ, ΠΈΠ»ΠΈ ΠΠΠ Ρ ΡΠΏΡΠΈΠ»ΠΎΠ½-ΠΏΠ΅ΡΠ΅Ρ ΠΎΠ΄Π°ΠΌΠΈ. Β«ΠΠΏΡΠΈΠ»ΠΎΠ½-ΠΏΠ΅ΡΠ΅Ρ ΠΎΠ΄ΠΎΠΌΒ» Π½Π°Π·ΡΠ²Π°Π΅ΡΡΡ ΠΏΠ΅ΡΠ΅Ρ ΠΎΠ΄ ΠΌΠ΅ΠΆΠ΄Ρ ΡΠΎΡΡΠΎΡΠ½ΠΈΡΠΌΠΈ, ΠΊΠΎΡΠΎΡΡΠΉ ΠΌΠΎΠΆΠ΅Ρ Π±ΡΡΡ Π²ΡΠΏΠΎΠ»Π½Π΅Π½ Π°Π²ΡΠΎΠΌΠ°ΡΠΎΠΌ Β«ΠΏΡΠΎΡΡΠΎ ΡΠ°ΠΊΒ», Π±Π΅Π· Π²Ρ ΠΎΠ΄Π½ΠΎΠ³ΠΎ ΡΠΈΠΌΠ²ΠΎΠ»Π°. ΠΠ° Π³ΡΠ°ΡΠ°Ρ ΠΈ Π² ΡΠ°Π±Π»ΠΈΡΠ°Ρ ΡΠ°ΠΊΠΈΠ΅ ΠΏΠ΅ΡΠ΅Ρ ΠΎΠ΄Ρ ΠΎΠ±ΡΡΠ½ΠΎ ΠΏΠΎΠΌΠ΅ΡΠ°ΡΡΡΡ ΡΠΈΠΌΠ²ΠΎΠ»ΠΎΠΌ Ξ΅.
|








